콘텐츠로 건너뛰기
Merck

905232

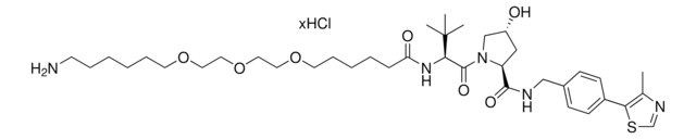
(S,R,S)-AHPC-C6-PEG3-butyl amine hydrochloride

≥95%

동의어(들):

(2S,4R)-1-((S)-22-Amino-2-(tert-butyl)-4-oxo-10,13,16-trioxa-3-azadocosanoyl)-4-hydroxy-N-(4-(4-methylthiazol-5-yl)benzyl)pyrrolidine-2-carboxamide, (S,R,S)-AHPC-6-2-2-6-NH2 HCl salt, Crosslinker−E3 ligase ligand conjugate, Protein degrader building block for PROTAC® research, Template for synthesis of targeted protein degrader, VH032 conjugate

조직 및 계약 가격을 보려면 로그인를 클릭합니다.

크기 선택

보기 변경

제품정보 (DICE 배송 시 비용 별도)

실험식(Hill 표기법):
C38H61N5O7S · xHCl
Molecular Weight:
731.99 (free base basis)
MDL number:
UNSPSC Code:
12352101
NACRES:
NA.22
기술 서비스
도움이 필요하신가요? 저희 숙련된 과학자 팀이 도와드리겠습니다.
도움 문의


ligand

VH032

assay

≥95%

form

powder or crystals

reaction suitability

reactivity: carboxyl reactive, reagent type: ligand-linker conjugate

functional group

amine

storage temp.

2-8°C

SMILES string

NCCCCCCOCCOCCOCCCCCC(N[C@H](C(N1[C@H](C(NCC2=CC=C(C3=C(C)N=CS3)C=C2)=O)C[C@@H](O)C1)=O)C(C)(C)C)=O.Cl

InChI

1S/C38H61N5O7S.ClH/c1-28-34(51-27-41-28)30-15-13-29(14-16-30)25-40-36(46)32-24-31(44)26-43(32)37(47)35(38(2,3)4)42-33(45)12-8-7-11-19-49-21-23-50-22-20-48-18-10-6-5-9-17-39;/h13-16,27,31-32,35,44H,5-12,17-26,39H2,1-4H3,(H,40,46)(H,42,45);1H/t31-,32+,35-;/

InChI key

AROZTUBYMZDNDZ-PRVWZYNMSA-N

Application

Protein degrader builiding block (S,R,S)-AHPC-C6-PEG3-butyl amine (HCl salt) enables the synthesis of molecules for targeted protein degradation and PROTAC (proteolysis-targeting chimeras) technology. This conjugate contains a von Hippel-Lindau (VHL)-recruiting ligand, a linker with both hydrophobic and hydrophilic moieties, and a pendant amine for reactivity with a carboxyl group on the target ligand. Because even slight alterations in ligands and crosslinkers can affect ternary complex formation between the target, E3 ligase, and PROTAC, many analogs are prepared to screen for optimal target degradation. When used with other protein degrader building blocks with a pendant amine, parallel synthesis can be used to more quickly generate PROTAC libraries that feature variation in crosslinker length, composition, and E3 ligase ligand.

Automate your VHL-PEG based PROTACs with Synple Automated Synthesis Platform (SYNPLE-SC002)

Legal Information

PROTAC is a registered trademark of Arvinas Operations, Inc., and is used under license


저장 등급

11 - Combustible Solids

flash_point_f

Not applicable

flash_point_c

Not applicable



가장 최신 버전 중 하나를 선택하세요:

시험 성적서(COA)

Lot/Batch Number

It looks like we've run into a problem, but you can still download Certificates of Analysis from our 문서 section.

도움이 필요하시면 연락하세요. 고객 지원 부서

이 제품을 이미 가지고 계십니까?

문서 라이브러리에서 최근에 구매한 제품에 대한 문서를 찾아보세요.

문서 라이브러리 방문


문서

Protein Degrader Building Blocks are a collection of crosslinker-E3 ligand conjugates with a pendant functional group for covalent linkage to a target ligand.


Momar Toure et al.
Angewandte Chemie (International ed. in English), 55(6), 1966-1973 (2016-01-13)
The current inhibitor-based approach to therapeutics has inherent limitations owing to its occupancy-based model: 1) there is a need to maintain high systemic exposure to ensure sufficient in vivo inhibition, 2) high in vivo concentrations bring potential for off-target side effects, and 3) there is
Kedra Cyrus et al.
Molecular bioSystems, 7(2), 359-364 (2010-10-06)
Conventional genetic approaches have provided a powerful tool in the study of proteins. However, these techniques often preclude selective manipulation of temporal and spatial protein functions, which is crucial for the investigation of dynamic cellular processes. To overcome these limitations
Philipp M Cromm et al.
Cell chemical biology, 24(9), 1181-1190 (2017-06-27)
Traditional pharmaceutical drug discovery is almost exclusively focused on directly controlling protein activity to cure diseases. Modulators of protein activity, especially inhibitors, are developed and applied at high concentration to achieve maximal effects. Thereby, reduced bioavailability and off-target effects can