Low-Impurity Iron Sources: Case Studies in EX-CELL® Advanced Medium
Introducing Low-Impurity Iron Sources for Cell Culture Media
The selection of appropriate iron sources in cell culture media (CCM) is important for the success and consistency of recombinant protein production. Traditional iron sources often introduce varying levels of trace element impurities, such as manganese and copper, which can lead to variability in cell performance and critical quality attributes (CQAs) across different production batches.
To enhance the reliability of cell culture processes, three low-impurity iron sources have been developed:
- Low impurity Iron(II) sulfate heptahydrate for Cell Culture Media
- Low impurity Iron(III) citrate for Cell Culture Media
- Low impurity Iron(III) ammonium citrate for Cell Culture Media
This article presents case studies that evaluate the suitability of these low-impurity iron sources as replacements for conventional iron sources in EX-CELL® Advanced Fed-Batch medium with different Chinese hamster ovary (CHO) cell lines. The need for supplementation of impurity-related trace elements is also investigated.
Section Overview
- Experimental Design
- Study 1: Cell Line Screening in EX-CELL® Advanced CHO Fed-Batch Medium and Cellvento® ModiFeed Prime COMP Feed Using Low Impurity Iron(III) Citrate
- Study 2: Use of Low Impurity Iron(III) Ammonium Citrate in EX-CELL® Advanced CHO Fed-Batch Platform
- Conclusion: The Benefits of Low Impurity Iron Sources
- Related Products
Experimental Design
Cell Culture Processes
Small-scale fed-batch experiments were performed in spin tubes with vented caps at 37 °C, 5% CO2, 80% humidity, and controlled agitation speed. CHO K1 cell lines producing either a recombinant immunoglobulin G (IgG) or a modified IgG, or CHOZN® clones producing a fusion protein were cultured in the tubes. Cells were cultivated in (iron-deficient) EX-CELL® Advanced CHO Fed-Batch medium, to which iron was added in the form of Low impurity Iron(III) citrate for Cell Culture Media, Low impurity Iron(III) ammonium citrate for Cell Culture Media, or a commercially available iron source.
The seeding concentration of each tested cell line was 2 x 105 cells/mL in a working volume of 30 mL. Feed was added on several days during the fed-batch experiment by applying cell line and feed formulation-specific feeding strategies. Additionally, glucose (400 g/L) was fed on demand up to 6 g/L during the week and up to 13 g/L over weekend days. Viable cell density (VCD), cell viability, and titer were monitored throughout the fed-batch experiments.
Antibody Purification and CQA Analyses
Recombinant proteins were purified from cell culture supernatant on day 10 of the fed-batch process using Protein A affinity chromatography. The aggregation profile (high molecular weight HMW, main peak, and low molecular weight LMW) was determined using size exclusion chromatography (SEC) coupled to an UV detector. The glycosylation profile (terminal sialylated, terminal galactosylated, terminal N-acetylglucosaminated (GlcNAc), terminal mannosylated, no identification) of the IgGs, modified IgG, and fusion proteins was analyzed either by capillary gel electrophoresis with laser-induced fluorescence (CGE-LIF) or ultra-performance liquid chromatography coupled to a mass spectrometer (UPLC-MS).
Iron Source Characterization
Detection and quantification of trace elements in the iron sources were performed by a semiquantitative elemental screening method using inductively coupled plasma mass spectrometry (ICP-MS).
Study 1: Cell Line Screening in EX-CELL® Advanced CHO Fed-Batch Medium and Cellvento® ModiFeed Prime COMP Feed Using Low Impurity Iron(III) Citrate
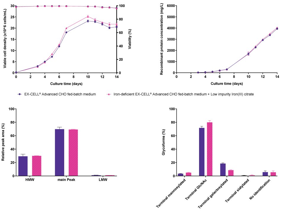
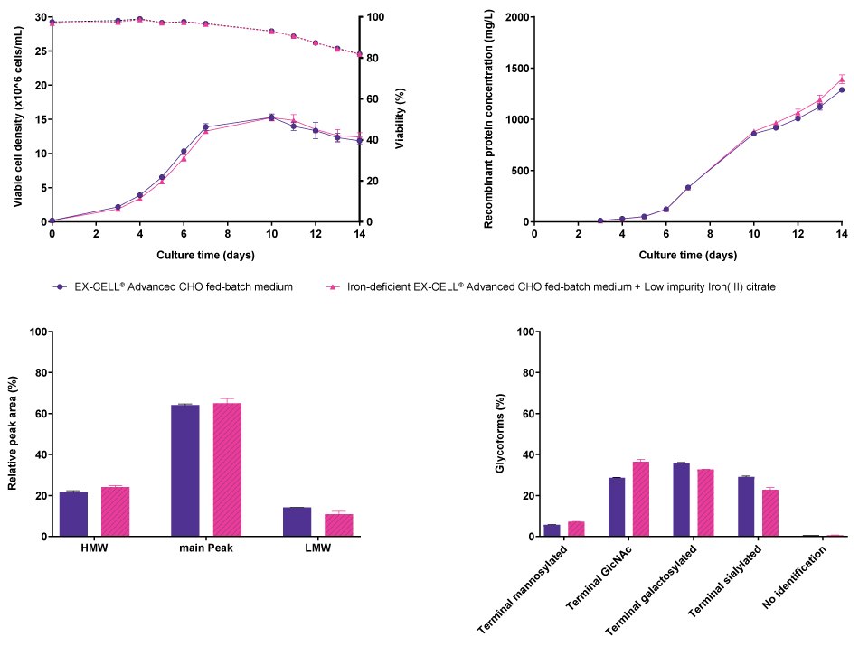
Six cell lines expressing IgG, a modified IgG, or a fusion protein were screened to assess the impact of Low impurity Iron(III) citrate for Cell Culture Media in iron-deficient EX-CELL® Advanced CHO Fed-Batch medium compared to the medium formulation using a commercial iron source (Figure 1–6).
No differences in cell performance were observed up to day 14, nor in the aggregation profile of the recombinant proteins. However, a reduced terminal galactosylation level was observed with Low impurity Iron(III) citrate, likely due to a difference in manganese impurity levels.1,2
These results demonstrate the suitability of Low impurity Iron(III) citrate for Cell Culture Media as a replacement for commercial iron sources in EX-CELL® Advanced 4CHO Fed-Batch medium used with Cellvento® ModiFeed Prime COMP feed.

Figure 1.Comparison of cell line performance and CQA profiles for CHO K1 mAb2 when cultured either in EX-CELL® Advanced CHO Fed-Batch medium or in iron-deficient EX-CELL® Advanced CHO Fed-Batch medium supplemented with Low impurity Iron(III) citrate for Cell Culture Media.

Figure 2.Comparison of cell line performance and CQA profiles for CHO K1 mAb3 when cultured either in EX-CELL® Advanced CHO Fed-Batch medium or in iron-deficient EX-CELL® Advanced CHO Fed-Batch medium supplemented with Low impurity Iron(III) citrate for Cell Culture Media.

Figure 3.Comparison of cell line performance and CQA profiles for CHO K1 mAb5 when cultured either in EX-CELL® Advanced CHO Fed-Batch medium or in iron-deficient EX-CELL® Advanced CHO Fed-Batch medium supplemented with Low impurity Iron(III) citrate for Cell Culture Media.

Figure 4.Comparison of cell line performance and CQA profiles for CHO K1 modified IgG when cultured either in EX-CELL® Advanced CHO Fed-Batch medium or in iron-deficient EX-CELL® Advanced CHO Fed-Batch medium supplemented with Low impurity Iron(III) citrate for Cell Culture Media.

Figure 5.Comparison of cell line performance and CQA profiles for CHOZN® fusion protein 1 when cultured either EX-CELL® Advanced CHO Fed-Batch medium or in iron-deficient EX-CELL® Advanced CHO Fed-Batch medium supplemented with Low impurity Iron(III) citrate for Cell Culture Media.

Figure 6.Comparison of cell line performance and CQA profiles for CHOZN® fusion protein 2 when cultured either in EX-CELL® Advanced CHO Fed-Batch medium or in iron-deficient EX-CELL® Advanced CHO Fed-Batch medium supplemented with Low impurity Iron(III) citrate for Cell Culture Media.
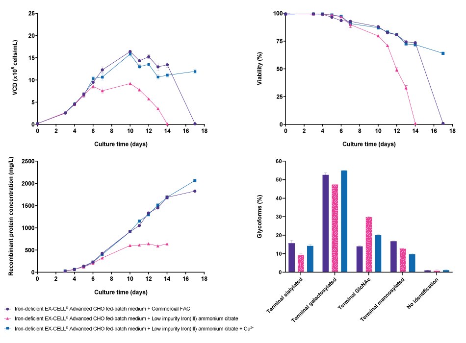
Study 2: Use of Low Impurity Iron(III) Ammonium Citrate in EX-CELL® Advanced CHO Fed-Batch Platform
In the present case study, the impact of Low impurity Iron(III) ammonium citrate for Cell Culture Media on cell culture performance and CHOZN® fusion protein 1 CQAs was assessed. EX-CELL® Advanced CHO Fed-Batch medium with a commercial iron source was compared to iron-deficient EX-CELL® Advanced CHO Fed-Batch medium supplemented with Low impurity Iron(III) ammonium citrate, both used in combination with EX-CELL® Advanced CHO Feed 1. Cell culture performance and the glycosylation profile were significantly affected when using Low impurity Iron(III) ammonium citrate for Cell Culture Media (Figure 7).

Figure 7.Comparison of cell line performance and CQA profiles for CHOZN® fusion protein 1 when cultured either in EX-CELL® Advanced CHO Fed-Batch medium or in iron-deficient EX-CELL® Advanced CHO Fed-Batch medium supplemented with Low impurity Iron(III) ammonium citrate for Cell Culture Media. The graphical plot is modified from Weiss et al. 2022.2
Investigations into impurities present in the commercial iron source and their effects, along with findings from a previous case study, revealed that while manganese supplementation of the iron-deficient medium reduced differences in the glycosylation profiles in this case, it did not restore cell culture performance (data not shown).
Further screening identified a copper impurity as the cause of reduced cell performance with Low impurity Iron(III) ammonium citrate for Cell Culture Media.2 Supplementing the iron-deficient EX-CELL® Advanced CHO Fed-Batch medium containing Low impurity Iron(III) ammonium citrate for Cell Culture Media with copper corresponding to levels in the commercial ferric ammonium citrate (FAC) iron source resulted in similar cell growth, prolonged viability, and similar titer up to day 14 of the fed-batch experiment. Glycosylation profiles of fusion protein 1 were also similar between commercial FAC or Low impurity Iron(III) ammonium citrate when supplemented with copper (Figure 8).
For a detailed description of this study, please refer to our published article “Copper impurity of iron raw material contributes to improved cell culture performance”.2

Figure 8.Effect of iron-containing copper impurity on cell line performance and glycosylation profile for CHOZN® fusion protein 1 when cultured in EX-CELL® Advanced CHO Fed-Batch medium supplemented either with a commercial Ferric Ammonium Citrate (FAC) iron source (high copper impurity) or with Low impurity Iron(III) ammonium citrate for Cell Culture Media. Additionally, usage of Low impurity Iron(III) ammonium citrate in EX-CELL® Advanced CHO Fed-Batch medium with an adjusted copper level as present in commercial FAC was tested. The graphical plot is modified from Weiss et al. 2022.2
Overall, these findings confirm that Low impurity Iron(III) ammonium citrate for Cell Culture Media can replace commercial iron sources in EX-CELL® Advanced CHO Fed-Batch medium, provided that iron-related impurity effects are taken into account. Notably, the results demonstrate that while some impurities may have a positive effect on cell performance, others might also be detrimental to cell culture as observed at the end of the fed-batch experiment when comparing commercial FAC with Low impurity Iron(III) ammonium citrate supplemented with copper.
Conclusion: The Benefits of Low Impurity Iron Sources
These case studies presented in this article demonstrate the suitability of Low impurity Iron(III) citrate for Cell Culture Media, and Low impurity Iron(III) ammonium citrate for Cell Culture Media for cell culture processes across various cell lines.
The key advantages of these low-impurity iron raw materials include:
- Reduced lot-to-lot variability: Consistent quality across batches minimizes fluctuations in cell culture performance, leading to more reliable outcomes.
- Enhanced reproducibility: Utilizing low-impurity iron sources supports a defined and stable CQA profile of recombinant proteins, fostering predictable production environments.
- Mitigation of unwanted impurity-related effects: These iron sources help avoid toxic or positively skewed effects associated with high impurity levels.
- Secure and reliable supply chain: Ensures uninterrupted access to high-quality materials for cell culture needs.
Due to the beneficial effects of some trace element impurities, conventional iron sources may sometimes yield superior performance in specific scenarios compared to low-impurity iron sources without trace element supplementation. However, the inherent variability in trace element impurities results in inconsistencies, impacting process reproducibility and final product quality.
Therefore, transitioning to low-impurity iron sources is highly recommended as they provide improved control and consistency. Decoupling iron from its impurities through the use of low-impurity iron sources requires careful evaluation of trace elements effects on cell culture performance before replacing commercial iron sources. Different cell lines may have different nutritional requirements, potentially necessitating supplementation of specific trace elements.
In conclusion, the adoption of low-impurity iron sources not only enhances the reliability, consistency, and control of recombinant protein production but also paves the way for innovative approaches in cell culture optimization. By embracing these advancements, researchers can achieve greater success in their bioprocesses, ultimately contributing to the development of high-quality biopharmaceutical products.
Related Products
References
To continue reading please sign in or create an account.
Don't Have An Account?