Advancing Cell Culture: Low-Impurity Iron Sources in Cellvento® 4CHO Medium
Introduction: Low-Impurity Iron Sources in Cell Culture Media
Iron sources in cell culture media (CCM) are crucial for the success of recombinant protein production; however, they often contain high and varying levels of trace element impurities such as manganese. These impurities can lead to lot-to-lot variability, and impact cell performance and critical quality attributes (CQAs) of recombinant proteins.
To address these challenges, we have developed three low-impurity iron sources:
- Low impurity Iron(II) sulfate heptahydrate for Cell Culture Media
- Low impurity Iron(III) citrate for Cell Culture Media
- Low impurity Iron(III) ammonium citrate for Cell Culture Media
This article explores the suitability of these new low-impurity iron sources as alternatives to conventional iron sources in Cellvento® 4CHO medium for fed-batch processes, evaluating their impact on cell culture performance and CQAs across multiple Chinese hamster ovary (CHO) cell lines. Additionally, the studies assess the potential need for supplementing impurity-related trace elements.
Section Overview
- Experimental Design
- Study 1: Cell Line Screening in Cellvento® 4CHO Fed-batch Medium Supplemented with Low Impurity Iron(III) Citrate
- Study 2: Impact of Iron Concentrations on Cell Performance and CQAs Commercial Iron Source Vs. Low Impurity Iron(III) Citrate
- Study 3: Use of Low Impurity Iron(II) Sulfate Heptahydrate in Cellvento® 4CHO Fed-Batch Medium
- Conclusion: Leveraging Low Impurity Iron Sources for Cell Culture
- Related Products
Experimental Design
Cell culture processes
Small-scale fed-batch experiments were performed in spin tubes with vented caps at 37 °C, 5% CO2, 80% humidity, and controlled agitation speed. CHO K1 cell lines producing either a recombinant immunoglobulin G (IgG) or a modified IgG, or CHOZN® clones producing a fusion protein were cultured in the tubes. Cells were cultivated in (iron-deficient) Cellvento® 4CHO COMP medium, to which iron was added in the form of Low impurity Iron(II) sulfate heptahydrate for Cell Culture Media, Low impurity Iron(III) citrate for Cell Culture Media, or a commercially available iron source.
The seeding concentration of each tested cell line was 2 x 105 cells/mL in a working volume of 30 mL. Feed was added on several days during the fed-batch experiment by applying cell line and feed formulation-specific feeding strategies. Additionally, glucose (400 g/L) was fed on demand up to 6 g/L during the week and up to 13 g/L over weekend days. Viable cell density (VCD), cell viability, and titer were monitored throughout the fed-batch experiments.
Antibody Purification and CQA Analyses
Recombinant proteins were purified from cell culture supernatant on day 10 of the fed-batch process using Protein A affinity chromatography. The aggregation profile (high molecular weight HMW, main peak, and low molecular weight LMW) was determined using size exclusion chromatography (SEC) coupled to a UV detector. The glycosylation profile (terminal sialylated, terminal galactosylated, terminal N-acetylglucosaminated (GlcNAc), terminal mannosylated, no identification) of the IgGs, modified IgG, and fusion proteins was analyzed either by capillary gel electrophoresis with laser-induced fluorescence (CGE-LIF) or ultra-performance liquid chromatography coupled to a mass spectrometer (UPLC-MS).
Iron Source Characterization
Detection and quantification of trace elements in the iron sources was performed by a semiquantitative elemental screening method using inductively coupled plasma mass spectrometry (ICP-MS).
Study 1: Cell Line Screening in Cellvento® 4CHO Fed-batch Medium Supplemented with Low Impurity Iron(III) Citrate
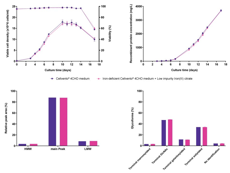
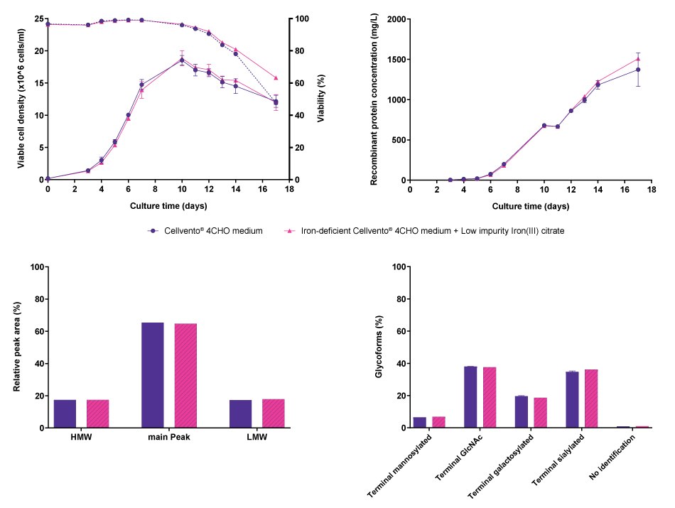
Screening results of eight cell lines expressing either an IgG, a modified IgG, or a fusion protein in cultures supplemented with Low impurity Iron(III) citrate for Cell Culture Media showed no performance differences compared to the medium formulation with a commercial iron source. Additionally, there was no impact on aggregation or glycosylation (see Figure 1-5 for representative results).
These findings demonstrate the suitability of Low impurity Iron(III) citrate for Cell Culture Media for use with Cellvento® 4CHO COMP medium and Cellvento® ModiFeed Prime COMP feed, enabling the cultivation of various cell lines and the production of recombinant proteins without introducing varying impurity levels into the cell culture process.

Figure 1.Comparison of cell line performance and CQA profiles for CHO K1 mAb1 when cultured either in Cellvento® 4CHO COMP or in iron-deficient Cellvento® 4CHO medium supplemented with Low impurity Iron(III) citrate for Cell Culture Media.

Figure 2.Comparison of cell line performance and CQA profiles for CHO K1 mAb5 when cultured either in Cellvento® 4CHO COMP or in iron-deficient Cellvento® 4CHO medium supplemented with Low impurity Iron(III) citrate for Cell Culture Media.

Figure 3.Comparison of cell line performance and CQA profiles for CHO K1 modified IgG when cultured either in Cellvento® 4CHO COMP or in iron-deficient Cellvento® 4CHO medium supplemented with Low impurity Iron(III) citrate for Cell Culture Media.

Figure 4.Comparison of cell line performance and CQA profiles for CHOZN® fusion protein 1 when cultured either in Cellvento® 4CHO COMP or in iron-deficient Cellvento® 4CHO medium supplemented with Low impurity Iron(III) citrate for Cell Culture Media.

Figure 5.Comparison of cell line performance and CQA profiles for CHOZN® fusion protein 2 when cultured either in Cellvento® 4CHO COMP or in iron-deficient Cellvento® 4CHO medium supplemented with Low impurity Iron(III) citrate for Cell Culture Media.
Study 2: Impact of Iron Concentrations on Cell Performance and CQAs
Commercial Iron Source Vs. Low Impurity Iron(III) Citrate
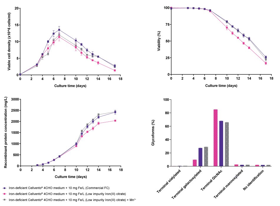
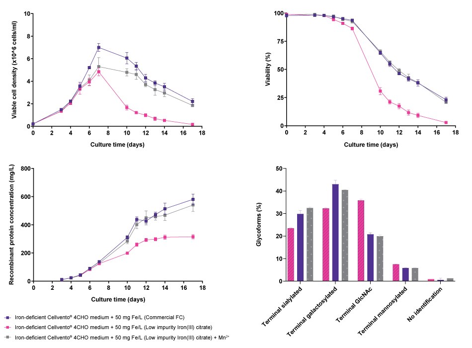
As shown in case study 1, no impact on cell performance and CQAs was observed when using Low impurity Iron(III) citrate for Cell Culture Media in the CCM formulation as the iron concentration present in Cellvento® 4CHO COMP medium is rather low (approx. 2 g/L). Increasing the iron concentration in case study 2 revealed the effects of iron-related impurities on cell performance and CQAs.
Manganese, an iron-related impurity, affects cell culture processes and CQAs of recombinant proteins in Cellvento® 4CHO COMP medium (in combination with Cellvento® 4Feed).1
For instance, cultivating the CHO K1 mAb1 cell line in Cellvento® 4CHO medium with elevated iron levels from a commercial ferric citrate (FC) iron source improved cell performance and increased terminal galactosylation of mAb1 compared to Low impurity Iron(III) citrate for Cell Culture Media (Figure 6). This effect was shown to be driven by the manganese impurity level in the commercial FC iron source (530 µg Mn/g). Adjusting manganese levels in the CCM with Low impurity Iron(III) citrate resulted in similar cell performance and glycosylation profile of mAb1. A similar but more pronounced effect was observed for CHOZN® fusion protein 1 when cultured in Cellvento® 4CHO medium at higher iron concentrations (Figure 7).
These results highlight the importance of identifying iron-related impurities that affect bioprocesses to ensure consistent and reproducible cell cultivation before using low-impurity iron sources. Individual supplementation of relevant trace elements in CCM formulations may be necessary to control the cell culture process and CQAs of the recombinant protein, steering both toward the desired outcome.
For a detailed description of this study, please refer to our published article “Impact of iron raw materials and their impurities on CHO metabolism and recombinant protein product quality”.1

Figure 6.Effect of iron-containing manganese impurity on cell line performance and glycosylation profile for CHO K1 mAb1 when cultured in iron-deficient Cellvento® 4CHO supplemented either with a commercial Ferric Citrate (FC) iron source (high manganese impurity) or with Low impurity Iron(III) citrate for Cell Culture Media. Additionally, use of Low impurity Iron(III) citrate for Cell Culture Media in iron-deficient Cellvento® 4CHO with an adjusted manganese level as present in commercial FC was tested. The graphical plot is slightly modified from Weiss et al. 2021.1

Figure 7.Effect of iron-containing manganese impurity on cell line performance and glycosylation profile for CHOZN® fusion protein 1 when cultured in iron-deficient Cellvento® 4CHO supplemented either with a commercial Ferric Citrate (FC) iron source (high manganese impurity) or with Low impurity Iron(III) citrate for Cell Culture Media. Additionally, usage of Low impurity Iron(III) citrate for Cell Culture Media in iron-deficient Cellvento® 4CHO with an adjusted manganese level as present in commercial FC was tested. The graphical plot is slightly modified from Weiss et al. 2021.1
Study 3: Use of Low Impurity Iron(II) Sulfate Heptahydrate in Cellvento® 4CHO Fed-Batch Medium
Similar to the observations with ferric citrate, using Low Impurity Iron(II) sulfate heptahydrate for Cell Culture Media in Cellvento® 4CHO COMP medium (in combination with Cellvento® 4Feed) yielded comparable cell performance and CQA profiles for CHO K1 mAb2 relative to the original Cellvento® 4CHO COMP medium (Figure 8).
However, increasing the iron concentration with Low impurity Iron(II) sulfate heptahydrate negatively impacted cell growth and viability, resulting in significantly lower levels of terminal galactosylated species for mAb2 compared to commercial ferrous sulfate heptahydrate (FeSO4·7H2O).
Same as in case study 2, this difference was primarily driven by the manganese impurity level in commercial FeSO4·7H2O (450 µg Mn/g FeSO4·7H2O). Adjusting the manganese level in the CCM with Low impurity Iron(II) sulfate heptahydrate to match those in commercial FeSO4·7H2O restored cell performance and glycosylation profiles of CHO K1 mAb2 (Figure 9).
These findings showcase that while the Low impurity Iron(II) sulfate heptahydrate for Cell Culture Media is suitable as an iron source in CCM, it is crucial to evaluate the effects of iron-related impurities before transitioning to the low-impurity iron sources. Identifying and supplementing relevant trace elements that are introduced to the process as raw material impurities from commercial iron sources is key to maintain consistency in the cell culture process.

Figure 8.Comparison of cell line performance and CQA profiles for CHO K1 mAb2 when cultured either in Cellvento® 4CHO COMP or in iron-deficient Cellvento® 4CHO medium supplemented with Low impurity Iron(II) sulfate heptahydrate for Cell Culture Media.

Figure 9.Effect of iron-containing manganese impurity on cell line performance and glycosylation profile for CHO K1 mAb2 when cultured in Cellvento® 4CHO medium supplemented either with a commercial Ferrous Sulfate heptahydrate (FeSO4·7H2O) iron source (high manganese impurity) or with Low impurity Iron(II) sulfate heptahydrate for Cell Culture Media. Additionally, use of Low impurity Iron(II) sulfate heptahydrate in Cellvento® 4CHO with an adjusted manganese level as present in commercial FeSO4 was tested.
Conclusion: Leveraging Low-Impurity Iron Sources for Cell Culture
The presented case studies demonstrate the suitability of two low-impurity iron sources: Low impurity Iron(II) sulfate heptahydrate for Cell Culture Media and Low impurity Iron(III) citrate for Cell Culture Media for a variety of different cell lines.
The key advantages of these low-impurity iron raw materials include:
- Reduced lot-to-lot variability: Consistent quality across batches minimizes fluctuations in cell culture performance, leading to more reliable outcomes.
- Enhanced reproducibility: Utilizing low-impurity iron sources supports a defined and stable CQA profile of recombinant proteins, fostering predictable production environments.
- Mitigation of unwanted impurity-related effects: These iron sources help avoid toxic or positively skewed effects associated with high-impurity levels.
- Secure and reliable supply chain: Ensures uninterrupted access to high-quality materials for cell culture needs.
While these iron sources effectively mitigate impurity-related issues, it is essential to recognize that some trace elements may be beneficial for cell culture. Therefore, individual supplementation of these trace elements may be necessary when using low-impurity iron sources. Transitioning from high-impurity to low-impurity iron sources requires careful consideration and evaluation of possibly necessary trace element supplementation. A thorough understanding of the nutritional requirements of the respective cell line and the contribution of iron-related impurities to overall cell performance is vital for optimizing bioprocesses.
Although high-impurity iron sources may sometimes yield better performance than low-impurity iron sources without supplementation, the inherent variability in impurity levels often leads to inconsistent results. Thus, the use of low-impurity sources combined with controlled supplementation is recommended. This approach allows for improved consistency and predictability in cell culture processes. Careful evaluation and adaptation of formulations facilitate a successful transition to low-impurity iron sources, ultimately enhancing the reliability of recombinant protein production.
Related Products
References
To continue reading please sign in or create an account.
Don't Have An Account?