Immunology Multiplex Assays: Profile More Immune Biomarkers Faster
Immunology multiplex assays enable the investigation of the modulation and expression of dozens of analytes simultaneously with speed and sensitivity.

Immunology Multiplex Assays
Quantifying cytokines and other proteins is important for understanding pathological states such as inflammation, sepsis, and diseases such as autoimmune disease, cardiovascular disease, metabolic syndrome, neurological disorders, and cancer. Our wide-ranging and industry-leading immunology multiplex panel offering includes kits to measure cytokines, chemokines, growth factors, soluble cytokine receptors, checkpoint proteins, complement proteins, autoimmune autoantibodies, tissue inhibitor of metalloproteinases (TIMPs), matrix metalloproteinases (MMPs), sepsis-related proteins, skin biomarkers, and immunoglobulins. Popular analytes are described in Table 1.
Based on Luminex® xMAP® technology, our MILLIPLEX® multiplex immunology assays enable precise, multiparametric analysis of diseases and underlying processes.
Applications of Multiplexing Immune Biomarkers
There are many applications of multiplexing immune biomarkers. This includes:
- Human and non-human primate analysis of cytokines, chemokines, and growth factors
- Virology studies such as COVID-19 research
- Autoantibody research
- Human and mouse high sensitivity evaluation of low-level cytokines
- Profiling immune responses of pregnancy
Below describes examples of how multiplex immunology assays can be used in immunology studies.
Cytokines, Chemokines, and Growth Factors
Acting at the recognition, activation, or effector phases of an immune response, cytokines modulate the development and functional activities of T cells, B cells, and myeloid cells. Using immunology multiplex assays to quantify cytokines, chemokines, and growth factors helps advance research by providing an understanding of various pathological states related to the immune system. Multiplexing allows researchers to investigate analytes simultaneously, saving time, sample, and resources. This is especially critical to immunology research, where numerous immune biomarkers play a role in different pathways.
Learn more about our latest MILLIPLEX® Human and Non-Human Primate Cytokine/Chemokine/Growth Factor multiplex panels.
The Complement System
The complement system consists of three pathways.
- The classical pathway is stimulated by antigen-antibody complexes
- The alternative pathway spontaneously activates on contact with pathogenic cell surfaces
- The mannose-binding lectin (MBL) pathway recognizes mannose sugars usually present only on pathogenic cell surfaces.
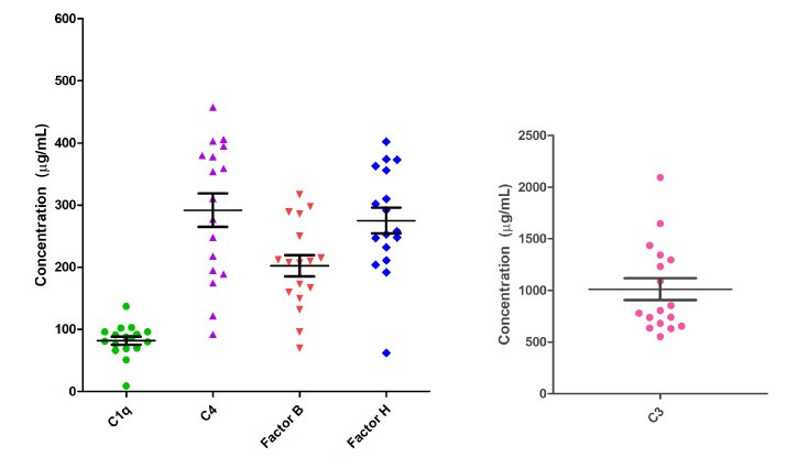
The ability to assess levels of multiple complement proteins in samples to determine complement profiles enables a more accurate characterization of changes in inflammation signaling and innate immune response. The MILLIPLEX® Human Complement panels are used to simultaneously determine levels of 13 key complement proteins in serum or plasma. Example analyte data from one of these panels is shown in Figure 1.

Figure 1.Healthy serum/plasma complement levels (n=17) using Human Complement Panel 2.
Materials
Immune Response and Sepsis Biomarker Analysis
While an immune response is critical for maintaining homeostasis, a hyper-reaction to infection, whether bacterial, viral, fungal, or parasitic, can result in an uncontrolled inflammatory response called sepsis. This hyper-reaction to infection interrupts homeostasis through an uninhibited inflammatory response, including upregulation of sepsis biomarkers, as well as increased apoptosis of lymphoid organs that leads to immune suppression. Severe sepsis or systemic inflammatory response syndrome (SIRS) can cause septic shock, multiple organ dysfunction syndrome (MODS), and death. The MILLIPLEX® Human Sepsis Panels help you understand the role of inflammatory biomarkers involved in sepsis.
Materials
Isotyping Human and Mouse Immunoglobulins
Produced by plasma cells and lymphocytes, immunoglobulins (Igs) are crucially involved in immune response, attaching to antigens and playing a role in their destruction. Igs can be classified by isotype, classes that differ in function and antigen response due to structure variability. Five major isotypes are IgM, IgG, IgA, IgE, and IgD – all found in healthy individuals. Some autoimmune diseases, gastrointestinal conditions, and malignancies are characterized by specific isotype deficiencies or varying concentrations of one or more isotypes. Disease states can range from the absence of one isotype class or subclass to a total deficiency of Ig classes.
Researchers can quantitate Ig classes and subclasses simultaneously with MILLIPLEX® Isotyping Kits. The xMAP® multiplex technology is ideal for measuring levels of these isotypes, not only decreasing the number of assays as well as the amount of sample required, but also greatly reducing the possible inaccuracies that result from performing multiple assays.
Materials
Fibrosis
Fibrosis and related diseases are responsible for an increasing burden of morbidity and mortality worldwide. The MILLIPLEX® Fibrosis Panel 1 enables researchers to advance the understanding of the complex processes associated with fibrotic diseases, including but not limited to idiopathic pulmonary fibrosis, liver fibrosis, and lung fibrosis. Figure 2 shows some example analyte data from this panel.

Figure 2.Serum/plasma concentrations for each analyte in Cat. No. HFIB1-100K from healthy individuals (n=20), systemic lupus erythematosus (SLE; n=7), scleroderma (n=10), Sjögren’s Syndrome (n=4), rheumatoid arthritis (n=4), cystic fibrosis (n=5), pulmonary fibrosis (n=5), and nonalcoholic steatohepatitis (NASH; n=6).

Figure 3.Mary Young, Research and Laboratory Technician at the University of Virginia, School of Medicine, Division of Infectious Diseases.
Mary Young is a Research and Laboratory Technician at the University of Virginia (UVA), School of Medicine, Division of Infectious Diseases. Mary has her Bachelor of Science in Biology from Elon University. She joined the Petri Lab as a research technician helping with several projects, mainly focusing on the human immune response to C. difficile infection. When the pandemic hit Virginia in March, Mary helped establish a biorepository of plasma collected from patients tested for COVID-19 infection at UVA and has been focusing on the human immune response to SARS-CoV-2.
Briefly describe your lab’s research interest area.
The Petri Lab focuses on disease pathogenesis and host immune response of several infections of the gastrointestinal system including Entamoeba histolytica, Clostridioides difficile, and Cryptosporidiosis. The lab also investigates the impact on childhood development of these enteric infections through our partnership with ICDDR, B; International Centre for Diarrhoeal Disease Research, Bangladesh. With our expertise as an immunology lab, we have been able to quickly shift focus to COVID-19 research.
Describe your recent COVID-19 studies and any published work related to COVID-19.
We currently have several projects focusing on COVID-19. We were able to set up a biorepository of plasma samples from patients tested for COVID-19 at UVA in March just as the pandemic hit Virginia. With those samples, we have measured cytokines and chemokines, antibodies, and metabolites. We have also established a COVID-19 mouse model allowing us to start better understanding biological processes causing clinical symptoms in humans.
Why did you choose MILLIPLEX® assays for your COVID-19 research?
Multiplex assays are very beneficial when asking a new research question, especially with a new disease like COVID-19. We trusted the proven specificity and sensitivity of MILLIPLEX® assays, so we knew that we would not be wasting precious samples.
We used MILLIPLEX® Human Cytokine/Chemokine/Growth Factor Panel A and the new MILLIPLEX® SARS-CoV-2 Antigen Panels, allowing us to measure 48 cytokines and 12 SARS-CoV-2 antigens with less than 75 µL of plasma.
How does using MILLIPLEX® assays help your research and/or workflow?
MILLIPLEX® assays save valuable time and sample by allowing us to measure several targets at once. We also only have to thaw plasma samples once, lessening the risk of sample degradation.
What other great work is being done in your laboratory?
While we have swung some of our focus to COVID-19 this year, we are still working on projects pertaining to Entamoeba histolytica, Clostridioides difficile, and Cryptosporidiosis. Our lab has published several articles recently, including type-2 immunity and predicting disease outcomes in C. difficile infection, how the gut microbiome regulates susceptibility to amebiasis, and type-2 immunity in E. histolytica infection.
If you could solve any challenge in research, what would it be?
Public opinion and awareness of research. It is very difficult to find support for basic academic research that is required for life-saving drugs if people are generally not aware or just don't care about it. It takes years to come up with disease treatments, and it is hard to garner support without a flashy end product. Not only do I think it is important to understand basic science and research process, but it may also inspire more people to enter STEM fields.
How have you been spending your free time during the pandemic?
Spending more time with my dog! We have been exploring all the trails that Charlottesville has to offer. Like most dogs, I think he is very much enjoying me being home more during the pandemic.
Read recent publications from Mary Young and the Petri Lab:
- Young MK, Kornmeier C, Carpenter RM, Natale NR, Sasson JM, Solga MD, et al. IgG Antibodies against SARS-CoV-2 Correlate with Days from Symptom Onset, Viral Load and IL-10. medRxiv 2020.12.05.20244541; https://doi.org/10.1101/2020.12.05.20244541
- Sasson JM, Campo JJ, Carpenter RM, Young MK, Randall AZ, Trappl-Kimmons K, et al. Diverse Humoral Immune Responses in Younger and Older Adult COVID-19 Patients. mBio 12:e01229-21; https://doi.org/10.1128/mBio.01229-21
- Donlan AN, Sutherland TE, Marie C, Preissner S, Bradley BT, Carpenter RM, et al. IL-13 is a driver of COVID-19 severity. JCI Insight. 2021;6(15):e150107; https://doi.org/10.1172/jci.insight.150107
For Research Use Only. Not For Use In Diagnostic Procedures.
Popular Immunology Kits
Explore our popular MILLIPLEX® immunology kits.
Materials
For Research Use Only. Not For Use In Diagnostic Procedures.
To continue reading please sign in or create an account.
Don't Have An Account?