Biological Evaluation of the MILLIPLEX® Mouse High Sensitivity T Cell Multiplex Panel
- The Role of Inflammation and Cytokines
- Evaluating a High Sensitivity T Cell Multiplex Mouse Panel
- Evaluation Results
- Powerful Cytokine Profiling with MILLIPLEX® Mouse Panel
- Materials
The evaluation of cytokine expression is important in research because of the role inflammation plays in many disease states. See how the MILLIPLEX® Mouse High Sensitivity T Cell Multiplex Panel was evaluated for studying low-level cytokine expression and also quantifying multiple cytokine secretion levels simultaneously in a biologically relevant context.
The Role of Inflammation and Cytokines
Low levels of inflammation are involved in many clinical and sub-clinical disease states such as autoimmune diseases, metabolic diseases, and cancer. Consequently, research investigating low levels of cytokine expression plays a significant role in achieving a deeper understanding of the immune system and its multi-faceted response to most antigens, especially those responses that make up the immune cell-mediated inflammatory processes. Measuring picogram levels of cytokines is critical for understanding their pathogenesis. Model organisms, such as mice, offer unique challenges of sample availability and detection of low levels of cytokines.
Evaluating a High Sensitivity T Cell Multiplex Mouse Panel
A mouse high sensitivity T cell panel multiplex assay was developed for simultaneous measurement of 18 mouse cytokines using Luminex® xMAP® technology. Eighteen mouse cytokine levels were analyzed in 25 µL of sample for both in vitro, with PMA-, PHA-, LPS-, Con-A, or calcium ionophore challenged peripheral blood mononuclear cell (PBMC) media samples, and in vivo, using LPS challenged mice, obese mouse models, and an aged-mouse model in serum samples.
Typically, the response of mouse PBMCs to in vitro stimulants is difficult to study due to low levels of cytokine secretion. Using the MILLIPLEX® Mouse High Sensitivity T Cell Panel, distinctly different stimulant-dependent cytokine responses were observed. The panel also detected low levels of serum cytokines in vivo using LPS-challenged mice (early onset of inflammation), obese mice (OB/OB and DB/DB,) and an aged-mouse model (cytokine profiles of young vs. old mice).
Immunoassay Protocol
The multiplex assay was performed in a 96-well plate. The detailed procedure is as follows:
- Wet the plate with 150 µL wash buffer for 10 minutes and decant.
- Add 50 µL standards or 25 µL samples and 25 µL assay buffer.
- Add 25 µL beads to all wells and incubate overnight at 4°C.
- Wash the beads three times then add 50 µL biotinylated detection antibody cocktail and incubate at room temperature for 1 hour.
- Add 50 µL Streptavidin-Phycoerythrin and further incubate at room temperature for 30 minutes.
- Wash beads three times, add 150 µL sheath fluid, and read on Luminex® instrumentation (in this case the Luminex® 200™ system).
Table 1. Standard curve ranges, sensitivity, precision, accuracy, and linearity for all 18 analytes of the MILLIPLEX®Mouse High Sensitivity T Cell Panel.

Figure 1. Standard curves for all 18 analytes of the MILLIPLEX® Mouse High Sensitivity T Cell Panel.
Detection of Analytes in Mouse PBMCs
The high sensitivity panel was able to detect low levels of analytes in mouse PBMC culture media as shown in Table 2.
Table 2 . MILLIPLEX® Mouse High Sensitivity T Cell Panel detects low levels of analytes in mouse PBMC culture media. PBMCs (Bioreclamation) were thawed, washed, and resuspended in RPMI media (Gibco) containing 10% FCS and 1% Penicillin/ Streptomycin at 106 cells/mL. The PBMCs were aliquoted at 106 cells/well and incubated overnight at 37°C. The next day either PMA, A23187, LPS, Con A, PHA, or all, were added for final concentrations of 0.025, 0.01, 1, 5, or 20 µg/mL, respectively. Conditioned media was collected at various time points, centrifuged at 15,000 RPM for 10 min, and the cell-free supernatants were stored at -80°C prior to assaying in a multiplex format.
In vivo LPS-Challenged Plasma Cytokine Levels
Data from in vivo LPS-challenged mouse plasma levels are shown in Figure 2.

Figure 2. The in vivo LPS-challenged mouse plasma samples were obtained from Bioreclamation. CD-1 mice were injected intraperitoneal (IP) at 1 mg/kg with a 1 mg/mL suspension of E. coli 055:B5 LPS in saline. At various time points, approximately 0.5 mL of plasma (sodium EDTA) was collected from each mouse and stored at -80°C prior to assaying in a multiplex format.
Diabetic Mouse Model
Data from using the multiplex panel in a diabetic mouse model is shown in Figure 3.

Figure 3. Data from a diabetic mouse model. OB/OB obese mice cannot produce the hormone leptin which inhibits hunger. In DB/DB diabetic obese mice, the leptin receptor is inactive. OB/OB, DB/DB, and C57Bl/6 control mice were from Bioreclamation IVT, Westbury, NY.
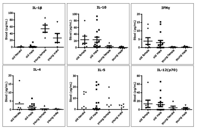
Aging Mouse Model
Data from using the multiplex panel in an aging mouse model is shown in Figure 4.

Figure 4. Data from an aging mouse model. C57Bl/6 control mice were from Bioreclamation IVT, Westbury, NY. Young was 4 months and old was 20 to 22 months.
Powerful Cytokine Profiling with MILLIPLEX® Mouse Panel
The MILLIPLEX® Mouse High Sensitivity T Cell Magnetic Bead Panel provides researchers with an analytically verified “must-have” assay, not only to study low-level cytokine expression but also to quantify multiple cytokine secretion levels simultaneously and in a biologically relevant context. This panel features 18 configurable mouse cytokine assays and requires only 25 µL of each sample.
Representative data shown here exemplifies the value of this kit for the study of relevant cytokine biomarkers both in vitro for stimulated PBMC and for in vivo studies, examining the early stages of inflammation for LPS-challenged models, and for use in metabolic-disease and aging animal models. The MILLIPLEX® Mouse High Sensitivity T Cell Magnetic Bead Panel is a powerful tool for cytokine profiling in biological samples.
Learn more about our multiplexing assays for laboratory, companion, and agricultural animal research in our multiplexing in vet med and animal health research article.
Materials Table
For Research Use Only. Not For Use In Diagnostic Procedures.
To continue reading please sign in or create an account.
Don't Have An Account?