Skip to Content
MilliporeSigma
HomeMILLIPLEX® Multiplex Assays for Luminex® InstrumentsLargest Non-Human Primate Cytokine Multiplex Panel

MILLIPLEX® Non-Human Primate Cytokine/Chemokine/Growth Factor Panel A: The Largest Selection of Immune Factors Available for Non-Human Primates

With the MILLIPLEX® Non-Human Primate Cytokine/Chemokine/Growth Factor Panel A, researchers can profile the largest selection of immune factors available for non-human primates on one 96-well plate. Save time and sample volume, with the ability to generate more than 1,800 data points in a single plate when samples are analyzed in duplicate. The MILLIPLEX® Non-Human Primate Cytokine/Chemokine/Growth Factor Panel A was built with flexibility in mind, offering the option to select only the analytes needed to meet research needs. Additionally, a customized premix can be selected, and the panel is available as a fixed 38-plex or 48-plex premixed bead kit.

Graph of MILLIPLEX® Non-Human Primate Cytokine/Chemokine/Growth Factor Panel A standard curves. Standard curves for all analytes performed in MXPRSM-A serum matrix except RANTES that was in L-AB assay buffer. This assay was performed using the Cat. No. PRCYTA-40K overnight protocol.

Figure 1.MILLIPLEX® Non-Human Primate Cytokine/Chemokine/Growth Factor Panel A Standard Curves. Standard curves for all analytes performed in MXPRSM-A serum matrix except RANTES that was in L-AB assay buffer. This assay was performed using the Cat. No. PRCYTA-40K overnight protocol.

What are Cytokines, Chemokines, and Growth Factors?

Cytokines are a diverse group of small proteins, peptides, or glycoproteins secreted by lymphocytes, monocytes, macrophages, and other cells that regulate immune responses, hematopoiesis, and lymphocyte development. Cytokines include:

  • Interleukins
  • Interferons
  • Chemokines
  • Other signaling molecules

Growth factors are extracellular polypeptides that have a positive effect on cell growth and proliferation. Growth factors and cytokines are similar in structure and the way of action. Each cytokine or growth factor acts through its own receptor on target cells to generate signaling pathways, and consequently to regulate biological processes. The expression of cytokines or growth factors and their receptors is highly regulated. Dysregulation may contribute to many diseases such as infectious disease, autoimmune and chronic inflammatory disease, cardiovascular disease, metabolic syndrome, neurological disorders, and cancer.

Cytokine and growth factor research help researchers gain a deeper understanding of the immune system and how to combat its related diseases. As the most closely related species to humans, non-human primates are critical models for these studies.

Milliplex® Assay Development

The MILLIPLEX® Non-Human Primate Cytokine/Chemokine/Growth Factor Panel A kit was developed using magnetic microsphere beads from Luminex® Corporation.1 Each set of beads is distinguished by different ratios of two internal dyes yielding a unique fluorescent signature for each bead set. Capture antibodies were coupled to the magnetic beads. Figure 2 shows the Luminex® methodology and instrumentation.

(A) Diagram of the Luminex® protein detection immunoassay method. (B) Images of instruments for use with MILLIPLEX® kits (xMAP® INTELLIFLEX, FLEXMAP 3D®, Luminex® 200™, and MAGPIX® systems).

Figure 2.(A) Luminex® protein detection immunoassay method. (B) Instruments for use with MILLIPLEX® kits (xMAP® INTELLIFLEX, FLEXMAP 3D®, Luminex® 200™, and MAGPIX® systems).

MILLIPLEX® Quality and Assay Verification

Kit development and verification begin with testing for selectivity and specificity to ensure negligible cross-reactivity in the tested sample types and to confirm the consistent performance of an assay in single-plex vs. multiplex formats. Buffers and diluents are optimized to enhance antibody specificity, such that only those analytes of interest are detected in samples. The serum matrix was carefully selected and optimized for use in the standard curve and Quality Control (QC) wells when using serum or plasma samples to mimic the sample matrix most closely, thus normalizing assay performance. The streptavidin-phycoerythrin (SAPE) concentration was titrated in-house for optimal signal and is provided ready-to-use with no dilution required. Additionally, all MILLIPLEX® kits are rigorously tested for shipping stability, and samples are also tested for temperature and freeze/thaw tolerance.

Sample dilution testing was also performed to ensure biologically relevant samples are detectable and fall on the linear portion of the standard curves. Using MILLIPLEX® Non-Human Primate Cytokine/Chemokine/Growth Factor Panel A, serum and plasma from five non-human primate species were tested. The assay was fully verified with two of the most studied non-human primates, rhesus macaques (Macaca mulatta) and cynomolgus macaques (Macaca fascicularis), with additional verification testing performed using baboon (Papio cynocephalus), chimpanzee (Pan troglodytes), and African green monkey (Cercopithecus aethiops) serum and plasma samples. Additionally, cynomolgus macaque peripheral blood mononuclear cells (PBMCs) were evaluated.

QCs, which are low and high dilutions of recombinant proteins for each analyte, are manufactured such that each QC has optimal placement on each standard curve. QC range sheets are provided with each kit. Additionally, it is recommended that users include experiment-specific samples for use as controls in each assay.

Immunoassay Workflow

The MILLIPLEX® Non-Human Primate Cytokine/Chemokine/Growth Factor Panel A includes a detailed, easy-to-follow protocol with a familiar workflow. Additionally, many of our kit components arrive ready-to-use, reducing assay variability and the amount of time spent preparing reagents. Detecting 48 immune markers at pg/mL levels with standard curve concentrations that remain the same from lot to lot affords a user-friendly experience. Consistent standard curves across lots allow for consistency in sample results across a project, and therefore reliable results.

Sample Detectability

Improvement in sample detection was an important factor in the development of the MILLIPLEX® Non-Human Primate Cytokine/Chemokine/Growth Factor Panel A, in addition to matching sample concentrations when evaluating against comparison MILLIPLEX® kits (Cat. Nos. PRCYTOMAG-40K and PRCYT2MAG40K). Comparable performance was demonstrated in analyte concentrations between Cat. No. PRCYTA-40K and comparison panels, shown in Figure 3.

Six analyte concentrations were adjusted to match literature values more closely, including IL-102, MIP-1β3,4, VEGF-A5, IL-1α6, IP-107,8, and IL-229.

Sample correlation graphs for MILLIPLEX® Non-Human Primate Cytokine/Chemokine/Growth Factor Panel A Cat. No. PRCYTA-40K compared to Cat. Nos. PRCYTOMAG-40K or PRCYT2MAG40K. Samples included serum and plasma from the five non-human primate species noted previously, and cynomolgus PBMC samples.
Sample correlation graphs for MILLIPLEX® Non-Human Primate Cytokine/Chemokine/Growth Factor Panel A Cat. No. PRCYTA-40K compared to Cat. Nos. PRCYTOMAG-40K or PRCYT2MAG40K. Samples included serum and plasma from the five non-human primate species noted previously, and cynomolgus PBMC samples.
Sample correlation graphs for MILLIPLEX® Non-Human Primate Cytokine/Chemokine/Growth Factor Panel A Cat. No. PRCYTA-40K compared to Cat. Nos. PRCYTOMAG-40K or PRCYT2MAG40K. Samples included serum and plasma from the five non-human primate species noted previously, and cynomolgus PBMC samples.

Figure 3. Sample correlation graphs for Cat. No. PRCYTA-40K compared to Cat. Nos. PRCYTOMAG-40K or PRCYT2MAG40K. Samples included serum and plasma from the five non-human primate species noted previously, and cynomolgus PBMC samples.

Samples included serum and plasma from the five non-human primate species noted previously, and cynomolgus PBMC samples.

Cynomolgus macaque PBMCs demonstrated increased concentrations in several analytes when stimulated with either Con A or LPS compared to the unstimulated control. Representative data is shown in Figure 4.

Graphs showing average concentrations of six analytes (MIP-1α, IL-6, IL-1RA, TNFα, Granzyme B, Perforin) in two cynomolgus macaque PBMC samples. PBMCs were tested as unstimulated control, stimulated with LPS, and stimulated with Con A.

Figure 4.Average concentrations of six analytes in two cynomolgus macaque PBMC samples. PBMCs were tested as unstimulated control, stimulated with LPS, and stimulated with Con A.

New Analyte Performance

Five new analytes not previously available in MILLIPLEX® non-human primate panels are included in MILLIPLEX® Non-Human Primate Cytokine/Chemokine/Growth Factor Panel A. The analytes include BCA-1, I-TAC, IFNα2, IL-7, and MIG. Table 1 outlines the analyte performance for the new analytes.

Reproducibility

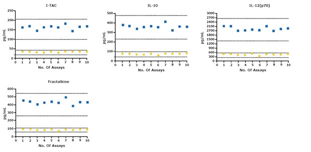
Consistent plate-to-plate performance is important when evaluating samples over time. To test reproducibility in the MILLIPLEX® Non-Human Primate Cytokine/Chemokine/Growth Factor Panel A, duplicate wells of our QC1 and QC2 were tested across ten 96-well plates during assay verification. Representative data from four analytes is illustrated in Figure 5.

Graph showing reproducibility testing of QC1 (yellow) and QC2 (blue) that were prepared according to the protocol and measured over 10 assays. All QCs read within the ±20% of each other and within the assigned QC ranges provided in the kit (dashed lines).

Figure 5.QC1 (yellow) and QC2 (blue) were prepared according to the protocol and measured over 10 assays. All QCs read within the ±20% of each other and within the assigned QC ranges provided in the kit (dashed lines).

Summary

The MILLIPLEX® Non-Human Primate Cytokine/Chemokine/Growth Factor Panel A offers an expanded selection of analytes in one easy-to-use panel, with the flexibility to choose any analyte combination, a customized premix, or a fixed 38- or 48-plex premix. The new non-human primate MILLIPLEX® multiplex panel includes five new analytes, including BCA-1, IFNα2, IL-7, I-TAC, and MIG. Protocol and workflow improvements now allow for all analytes, excluding RANTES and IL-8 in certain non-human primate species, to be tested with neat serum and plasma samples. Previous MILLIPLEX® non-human primate multiplex assays required either neat samples or a 1:2 dilution. This simple sample preparation improvement provides a straightforward and time-saving workflow over previous assays.

The data presented here highlights the value of MILLIPLEX® Non-Human Primate Cytokine/Chemokine/Growth Factor Panel A for the study of relevant disease biomarkers in serum and plasma, as well as PBMCs and cell culture supernatants. Standard curve ranges were expanded or shifted to allow for improved sample detectability when evaluated against comparison MILLIPLEX® non-human primate panels. The standard curve ranges are fixed to allow for lot-to-lot consistency and were specifically optimized for each analyte. Sample values were compared and correlated to comparative MILLIPLEX® assays to provide users with confidence in performance. Moreover, the MILLIPLEX® Non-Human Primate Cytokine/Chemokine/Growth Factor Panel A takes literature-reported analyte concentrations into account when calibrating standard curves to provide reliable results.

Sample correlation was an important factor in developing the MILLIPLEX® Non-Human Primate Cytokine/Chemokine/Growth Factor Panel A in comparison to other non-human primate assays in the MILLIPLEX® portfolio. This measure provides confidence in results generated, no matter the MILLIPLEX® assay that is selected. It is important to note that absolute values can change, but sample trends should remain the same. It is recommended that researchers bridge assays in their own labs by comparing kits side-by-side before switching to our larger, more versatile non-human primate panel.

Materials

Loading

References

1.
Luminex® Corporation webpage. [Internet]. Available from: https://www.luminexcorp.com/magplex-microspheres/.
2.
Bouchama A, Mohanna FA, El-Sayed R, Eldali A, Saussereau E, Chollet-Martin S, Ollivier V, de Prost D, Roberts G. 2005. EXPERIMENTAL HEATSTROKE IN BABOON: ANALYSIS OF THE SYSTEMIC INFLAMMATORY RESPONSE. 24(4):332-335. https://doi.org/10.1097/01.shk.0000180620.44435.9c
3.
Fahlberg MD, Blair RV, Doyle-Meyers LA, Midkiff CC, Zenere G, Russell-Lodrigue KE, Monjure CJ, Haupt EH, Penney TP, Lehmicke G, et al. 2020. Cellular events of acute, resolving or progressive COVID-19 in SARS-CoV-2 infected non-human primates. Nat Commun. 11(1): https://doi.org/10.1038/s41467-020-19967-4
4.
He C, Narayanan PK, Fort MM. 2014. Assessment of the Performance of Three Multiplex Array Panels for the Detection of Circulating Cytokines and Chemokines in Naive, LPS, and SEB-treated Cynomolgus Macaques. Toxicol Pathol. 42(1):286-292. https://doi.org/10.1177/0192623313510363
5.
Tschulakow A, Christner S, Julien S, Ludinsky M, van der Giet M, Schraermeyer U. Effects of a Single Intravitreal Injection of Aflibercept and Ranibizumab on Glomeruli of Monkeys. PLoS ONE. 9(11):e113701. https://doi.org/10.1371/journal.pone.0113701
6.
Verdier F. 1995. Determination of lymphocyte subsets and cytokine levels in Cynomolgus monkeys. Toxicology. 105(1):81-90. https://doi.org/10.1016/0300-483x(95)03127-2
7.
Min F, Wu R, Pan J, Huang S, Luo Y, Zhang Y. 2017. Positive Correlation between IP-10 and IFN-?Levels in Rhesus Monkeys(Macaca mulatta)with Either Naturally Acquired or Experimental Infection ofMycobacterium tuberculosis. BioMed Research International. 20171-6. https://doi.org/10.1155/2017/5089752
8.
Sui Y, Li S, Pinson D, Adany I, Li Z, Villinger F, Narayan O, Buch S. 2005. Simian Human Immunodeficiency Virus-Associated Pneumonia Correlates with Increased Expression of MCP-1, CXCL10, and Viral RNA in the Lungs of Rhesus Macaques. The American Journal of Pathology. 166(2):355-365. https://doi.org/10.1016/s0002-9440(10)62259-6
9.
Chiu CY, Sánchez-San Martín C, Bouquet J, Li T, Yagi S, Tamhankar M, Hodara VL, Parodi LM, Somasekar S, Yu G, et al. 2017. Experimental Zika Virus Inoculation in a New World Monkey Model Reproduces Key Features of the Human Infection. Sci Rep. 7(1): https://doi.org/10.1038/s41598-017-17067-w
Sign In To Continue

To continue reading please sign in or create an account.

Don't Have An Account?