Skip to Content
MilliporeSigma

901850

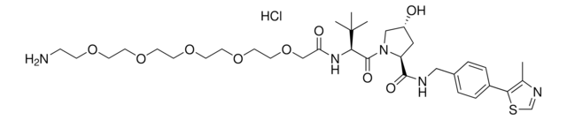
(S,R,S)-AHPC-PEG5-NH2 hydrochloride

Synonym(s):

(2S,4R)-1-((S)-20-Amino-2-(tert-butyl)-4-oxo-6,9,12,15,18-pentaoxa-3-azaicosanoyl)-4-hydroxy-N-(4-(4-methylthiazol-5-yl)benzyl)pyrrolidine-2-carboxamide hydrochloride, Crosslinker−E3 ligase ligand conjugate, Protein degrader building block for PROTAC® research, Template for synthesis of targeted protein degrader, VH032 conjugate

Sign In to View Organizational & Contract Pricing.

Select a Size

Change View

About This Item

Empirical Formula (Hill Notation):
C34H54ClN5O9S
Molecular Weight:
744.34
MDL number:
UNSPSC Code:
12352101
NACRES:
NA.22
Form:
crystals
Technical Service
Need help? Our team of experienced scientists is here for you.
Let Us Assist


ligand

VH032

form

crystals

reaction suitability

reactivity: carboxyl reactive, reagent type: ligand-linker conjugate

functional group

amine

storage temp.

2-8°C

SMILES string

O=C(COCCOCCOCCOCCOCCN)N[C@H](C(N1[C@H](C(NCC2=CC=C(C3=C(C)N=CS3)C=C2)=O)C[C@@H](O)C1)=O)C(C)(C)C.Cl

InChI

1S/C34H53N5O9S.ClH/c1-24-30(49-23-37-24)26-7-5-25(6-8-26)20-36-32(42)28-19-27(40)21-39(28)33(43)31(34(2,3)4)38-29(41)22-48-18-17-47-16-15-46-14-13-45-12-11-44-10-9-35;/h5-8,23,27-28,31,40H,9-22,35H2,1-4H3,(H,36,42)(H,38,41);1H/t27-,28+,31-;/m1./s1

InChI key

FJDKQBVZPSNEBT-LJGPDLSOSA-N

Application

Protein degrader building block (SRS)-AHPC-PEG5-NH2 (HCl salt) enables the synthesis of molecules for targeted protein degradation and PROTAC (proteolysis-targeting chimeras) technology. This conjugate contains a von Hippel–Lindau (VHL)-recruiting ligand and a PEGylated crosslinker with pendant amine for reactivity with a carboxyl group on the target ligand. Because even slight alterations in ligands and crosslinkers can affect ternary complex formation between the target E3 ligase and PROTAC many analogs are prepared to screen for optimal target degradation.When used with other protein degrader building blocks with a pendant amine parallel synthesis can be used to more quickly generate PROTAC libraries that feature variation in crosslinker length composition and E3 ligase ligand.

Automate your VHL-PEG based PROTACs with Synple Automated Synthesis Platform (SYNPLE-SC002)

Legal Information

PROTAC is a registered trademark of Arvinas Operations, Inc., and is used under license


Storage Class

11 - Combustible Solids

flash_point_f

Not applicable

flash_point_c

Not applicable



Choose from one of the most recent versions:

Certificates of Analysis (COA)

Lot/Batch Number

It looks like we've run into a problem, but you can still download Certificates of Analysis from our Documents section.

If you need assistance, please contact Customer Support

Already Own This Product?

Find documentation for the products that you have recently purchased in the Document Library.

Visit the Document Library


Articles

Protein Degrader Building Blocks are a collection of crosslinker-E3 ligand conjugates with a pendant functional group for covalent linkage to a target ligand.


Momar Toure et al.
Angewandte Chemie (International ed. in English), 55(6), 1966-1973 (2016-01-13)
The current inhibitor-based approach to therapeutics has inherent limitations owing to its occupancy-based model: 1) there is a need to maintain high systemic exposure to ensure sufficient in vivo inhibition, 2) high in vivo concentrations bring potential for off-target side effects, and 3) there is
Kedra Cyrus et al.
Molecular bioSystems, 7(2), 359-364 (2010-10-06)
Conventional genetic approaches have provided a powerful tool in the study of proteins. However, these techniques often preclude selective manipulation of temporal and spatial protein functions, which is crucial for the investigation of dynamic cellular processes. To overcome these limitations
Philipp M Cromm et al.
Cell chemical biology, 24(9), 1181-1190 (2017-06-27)
Traditional pharmaceutical drug discovery is almost exclusively focused on directly controlling protein activity to cure diseases. Modulators of protein activity, especially inhibitors, are developed and applied at high concentration to achieve maximal effects. Thereby, reduced bioavailability and off-target effects can



Global Trade Item Number

SKUGTIN
901850-50MG04061835334186