Phyllosilicate Clay Minerals: Principles and Applications
Hansol Ra1,2, Sungsoon Kim1,2, Taehoon Kim1,2, Jihong Bae1,2, Wooyoung Shim1,2*
1Department of Materials Science and Engineering, Yonsei University, Seoul 120-749, Korea, 2Center for Multi-Dimensional Materials, Yonsei University, Seoul 03722, Korea
Material Matters™, 2022, 17.1 | Material Matters™ Publications
Introduction
The emergence of van der Waals materials has opened a spectrum of research exploring two-dimensional (2D) layered materials.1,2 Inorganic materials with diverse layer types and surface properties have gained attention, including boron nitride, transition metal carbides and nitrides, black phosphorous, and molybdenum disulfide.3–6 All these materials have strong in-plane chemical bonds but weak out-of-plane van der Waals forces, which allows some of them to be exfoliated into few-layered two-dimensional nanosheets through physical or chemical means.7–8 Numerous functional materials were reconstructed from 2D nanosheets of these materials, showing high performance and promising results in many fields of science.8–10
Clays are abundant in nature and are sustainable; they can be easily modified and show good stability when exposed to high temperatures and acidic environments. As the demand for eco-friendly and cost-effective materials remains high, clays are attractive candidates for next-generation material. Clay minerals are referred to as fine-grained parts of geology composed essentially of hydrous aluminosilicates.11 Their grain sizes are less than 2 μm in diameter, and most have a phyllosilicate or sheet structure in natural settings. Although clay minerals have a standard structure, diverse transformations in the geometric arrangement of atoms and ions occur within the crystal due to chemical changes or thermal variations while weathering (Figure 1). Thus, numerous members can exist within the same family group with different compositions and properties. Correctly understanding these phyllosilicate materials can open new avenues for diverse functional membranes. Herein, we review recent advances in phyllosilicate materials of the kaolin, mica, smectite, and vermiculite group with a basic understanding of their physical and chemical properties.






Figure 1. Schematics of the crystallographic structure of phyllosilicates in each clay mineralogy groups.
Phyllosilicates
Phyllosilicates, also called sheet silicates, can be classified according to their structural and molecular arrangement, elemental composition, and swelling properties (Figure 2A).12 First, clay structure and the arrangements of the molecular units are good standards. As shown in Figure 2B, the foundation of all silicate structures is the silicate tetrahedron (each consisting of a central silicon atom surrounded by four oxygen atoms at the corners of a tetrahedron). The two-dimensional cross-linking of silicon ions and basal oxygens forms the sheet silicate or the phyllosilicate structure. Three basal oxygens are interlinked in such a way as to form a hexagonal-shaped network, and the remaining oxygen is located under the basal plane. The apical oxygen located at the bottom of the sheet can form bonds with other metallic ions. This interlinked metallic ion is coordinated octahedrally. The octahedral polyhedron contains a cation coordinated with six oxygens or hydroxyl units. The linking of tetrahedral and octahedrally coordinated cations is the fundamental characteristic of phyllosilicates. Major basic structural models are 1:1 structure (kaolin group), 2:1 structures (mica, smectite, and vermiculite group), and 2:1 sandwich structure (chlorites). In this review, we will focus on 1:1 and 2:1 structures. Pyrophyllite and talc are used as a model for minerals of dioctahedral (aluminum-rich) and trioctahedral (magnesium-rich) 2:1 structure.
Furthermore, the basic composition of a clay mineral helps us to differentiate phyllosilicates. As mentioned, diverse species of clay minerals can exist due to chemical changes or thermal variations while weathering. Varieties of clays found in nature are formed through equivalent or non-stoichiometric substitutions of cations in the tetrahedral and octahedral sites. One possibility is a change in the total number of ions present in the octahedral site. The negative charge on a layer silicate unit cell of the tetrahedrally coordinated ions is equivalent to four oxygen ions or eight charges, while the charge on the unit cell of the octahedrally coordinated layer is six or that of three oxygen ions. This leads to two occupancy types of the octahedrally coordinated sites, one with three divalent ions (trioctahedral) or one with two trivalent ions (dioctahedral).
Moreover, diverse pathways such as octahedral, di-trioctahedral, and octahedral-tetrahedral substitutions exist. For example, Si4+ in the tetrahedral site can be substituted by Al3+, and Mg2+ in the octahedral site can be substituted by Fe3+ to balance the charge. It is also possible to have an electrostatically balanced interlayer substitution by adding another ion on the surface of the layered sheet of the tetrahedral-octahedral network. Usually, the ion has a charge of +1 or +2, with Na, K, Ca, and Mg the most common ions present (Figure 2B). The trivalent substitution typically causes the interlayer substitution in the tetrahedral site. Substitution in the octahedral site is much rarer. The compositional variation results in different cell dimensions and atomic arrangements due to the charge relations of the polyhedra. Monoclinic shifts caused by the ionic substitutions can produce even more polytypes within the same group.
Lastly, phyllosilicate groups can further be divided by their capacity of clays to swell or to absorb water. Each group has a unique interlayer distance due to its characteristic surface charge (Figure 2C). In the case of kaolins (neutral charge) and micas (high charge), swelling does not occur, whereas smectites and vermiculite groups (both of low charge) swell.
2A

2B

2C

Figure 2. Classification of clay mineral groups. A) Relationship between kaolinite, serpentine, pyrophyllite-talc, mica, smectite, and vermiculite group. B) Schematic illustration of trioctahedral and dioctahedral structure with intercalation sites and pathways. C) Schematic illustration of layered structure of each phyllosilicate groups.
Kaolin Group
The thickness of the tetrahedral-octahedral layers of the kaolin group is around 7 Å.11 The dioctahedral clays within the kaolin group fall under the kaolinite subgroup and the trioctahedral under the serpentine subgroup. All substitutions within the 1:1 structure result in a neutral lattice; hence, there are no swelling clays within the kaolin family.
The members of the kaolin group serve as important industrial raw materials and have a wide variety of applications in the industry, mainly fillers and coatings. Kaolinite, the most well-known 1:1 clay mineral, has many attractive features for use as a substrate, such as low cost, abundant source, and high mechanical strength.13 Apart from 2:1 structured phyllosilicate, the layered kaolin structure contains abundant hydroxyl groups in its crystal interlayer and fracture surface, which opens possibilities for diverse chemical modifications.
Zhou et al. reported a surface-rich carboxyl decorated kaolinite composite (PAA-KLN) fabricated through poly(acrylic acid) grafting via an integrated UV-initiated grafting approach (Figure 3A and 3B).14 Due to the suitable hydrophilic property of poly(acrylic acid) brushes, their free-end would extend into the solution to form a surface villus layer, bringing many highly accessible adsorption sites. The resultant PAA-KLN exhibited outstanding adsorption capacity for Fe3+ of 189.63 mg/g and rapid adsorption rate (reaching equilibrium within 40 min) (Figure 3C). Furthermore, PAA-KLN displayed excellent reusability with a high desorption ratio even at a low concentration of stripping liquid (0.2 M HCl), demonstrating its excellent application potential in recycling valuable metal from wastewater (Figure 3D).
Cheng et al. used nano kaolinites to form self-assembled two-dimensional nanofluidic channels by bottom-up construction of kaolinite-based Janus nano-building blocks (Figure 3E).15 Through an evaporation and vacuum-filtration process, the two-dimensional heterostructures are reassembled into membrane-scale layered materials possessing distinct sub-nanometer and nanometer-wide fluidic channels of about 6.8 and 13.8 Å (Figure 3F). Saturated ionic conductance at low concentrations and the linear relationship of the magnitude of the streaming ionic current with respect to the applied flow rate show similar observations found in the case of a single-channel nanofluidic device (Figure 3G and 3H). Moreover, the output power density from the reconstructed nano kaolinite membranes (RKM) approaches 0.18 W m-2 and remarkably high mechanical-electric energy conversion compared to GOM (Figure 3I).
3A

3B

3C

3D

3E

3F

3G

3H

3I

Figure 3. Fabrication and performance of kaolinite-based functional membranes. A) Scheme of preparation of PAA-KLM adsorbent. B) SEM and water contact angle of KLN, m-KLM, PAA-KLN. C) Regeneration time and cycle for the evaluation of PAA-KLN performance. D) Comparison of adsorption capacities between KLN, m-KLN, and PAA-KLN. Adapted with permisson from reference 14, copyright 2018 Elsevier. E) Self-assembly and reconstruction of 2D Janus nanosheets with XRD patterns. F) Photograph of RKM and SEM observation on the cross-section of the RKM. G) Scheme of the experimental setup and representative linear current-voltage responses at different KCl concentrations. H) The generated streaming current from RKM at different pH. I) The streaming ionic current generated from the RKM compared with GOM at different pH. Adapted with permisson from reference 15, copyright 2017 John Wiley and Sons.
Mica Group
Clay minerals within a mica group have a high charge (0.9–1.0). In micas, there is a charge imbalance due to ionic substitution on the basic 2:1 structure, which is compensated by an interlayer ion, almost uniquely potassium, fixed between the layers and bonding the layers together.11 Although micas have many attractive properties such as high surface potential, visible-light transparency, ultraviolet-shielding, flexibility, electric thermal insulator, stability in temperature and chemical durability, the exfoliation of single nanosheets with high aspect ratio and layered structure is difficult due to the strong interlayer bonding.16–17
In 2015, Jia et al. reported the successful fabrication of self-standing films by exfoliation of stable monolayer muscovite through enlarging the spacing with long-chain OTA+ (Figure 4A and 4B).17 Three years later, in 2018, Pan et al. have reported a high-performance biomimetic polymeric mica film with the help of CTA intercalation and ultrasonication in ethanol (Figure 4C).18 The fabricated film showed fine laminar structure (Figure 4D), excellent mechanical strength (259 MPa and 16.2 GPa with mica content of 60 wt.%), and an as-synthesized device (Figure 4E) showed good conductivity (~0.6 S cm-1) (Figure 4F) and performance over a wide range of bending angles (Figure 4G). It makes polymeric mica film a suitable candidate to serve as a novel substrate for flexible and transparent electronic devices, such as photodetectors.
A

B

C

D

E

F

G

Figure 4. Fabrication and performance of mica-based functional membranes. A) Schematic representation of 2D muscovite preparation. B) XRD pattern and SEM image of OTA-M750. Adapted with permission from reference 17, copyright 2015 RSC Publishing. C) Schematic illustration showing the exfoliation process of natural ground mica into eMica nanosheets via intercalation with CTAB. PEI-eMica nanosheets were further mixed with CS solution to produce polymeric mica film by a spray-coating method. D) Photograph and cross-sectional SEM image (scale bar, 2 µm) of a 60 wt.% polymeric mica film. E) Schematic illustration of the device with 60 wt.% polymeric mica film as its substrate. F) I–V curves of the device measured in the dark and upon light illumination (450 nm, 180 mW cm-2, flat and bent). G) Time response spectrum of the device to pulsed light at V = 1 V. Adapted with permission from reference 18, copyright 2018 Springer Nature.
Smectite Group
The most important and widely known members of the smectite group are montmorillonite, beidellite, nontronite, saponite, and hectorite. They are differentiated by variations in chemical composition involving substitutions in tetrahedral and octahedral sites.11
The structure, chemical composition, exchangeable ion type, and small crystal size of smectite clays are responsible for several unique properties, including a large chemically active surface area, high cation exchange capacity, interlamellar surfaces having unusual hydration characteristics, and sometimes the ability to strongly modify the flow behavior of liquids.19 Different from micas, smectites have a low-charge 2:1 structure (0.2–0.9 charge). Loosely held ions compensate for the net charge imbalance on the tetrahedral-octahedral network in the interlayer position, which can be easily exchanged in solution. Depending on the humidity, the basal spacing can vary from 1 to 2 nm.12
The exfoliation of high-quality montmorillonite is relatively easy compared to micas because of their loosely held cation and swelling property. Therefore, montmorillonite films are generally produced through simple dispersion and vacuum filtration. Also, the considerable interlayer distance can serve as molecular separation filters or even ionic transport when tuned.
Huang et al. reported a novel 2D layered membrane based on montmorillonite (MMT) nanosheets prepared by vacuum filtration on Nylon substrates (Figures 5A and 5B).20 The two-dimensional MMT membrane showed excellent water permeability (212.2 L / m-2 h bar) and a high rejection rate (95.6%) for DB38 dye molecules (Figure 5C). Besides, the nanochannels in the MMT membrane and wrinkles on MMT nanosheets are rigid enough to resist external pressure up to 0.35 MPa. The lamellar MMT membrane also possessed outstanding hydrophilicity and excellent antifouling property, with an FRR of 88.2% (Figure 5D).
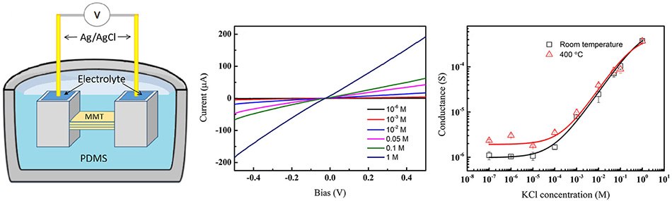
Liu et al. made two-dimensional nanochannel arrays based on a flexible MMT membrane with well-stacked monolayers. They observed the ion transport behavior within the nanochannels (Figure 5E and 5F).21 Current increases linearly with the bias, and the slope of these I-V curves corresponds to the ionic conductance inside the 2D nanochannels. Moreover, the ionic conductance began to deviate from the linear relationship at 10-4 M. The ionic transport behavior indicates that the electrolyte ion migrates freely inside the two-dimensional nanochannels above 10-4 M, but the surface-charge-controlled ionic conductance is dominant below 10-4 M (Figure 5G). The surface charge density of the nanochannels is determined to be ∼0.0077 mC m-2, and the ionic mobility ratio (μ+/μ-) through the 2D nanochannels is calculated to be about 8.2 for KCl electrolyte solution. The asymmetric nanofluidic diode showed ionic current rectification with a rectification factor of ~2.6 for the KCl electrolyte (Figure 5H).
Zhou et al. succeeded in fabricating a CTAB-modified MMT membrane (Figures 5I and 5J).22 The CTAB attached on both sides of the negatively charged MMT nanosheets supported the nanochannels as pillars and played a significant role in capturing dye molecules. The membrane showed high stability in water under soaking, shacking, and short ultrasonication conditions. Not only that, but it could also be used for salinity gradient energy conversion. An output power density of 0.18 W m-2 was achieved under a 1000-fold salt concentration gradient with a membrane thickness of 11.2 μm (Figure 5K). These membranes also showed water permeance of 429 L m-2 h-1 atm-1 with a thickness of 2.5 μm, higher than other membranes with the same thickness. They also show high separation efficiency for both positive and negative dyes. The hydroxyl groups on the edge of MMT nanosheets are hydrophilic, while the nanochannels are hydrophobic; the alternating hydrophobic and hydrophilic nanochannels can further promote the permeance. The combination of nanofluidic ionic transport and molecular separation through 2D channels presents valuable features to create new smart multifunctional membranes that can collect energy while purifying wastewater.
A

B

C

D

E

F

G

H

I

J

K

Figure 5. Fabrication and performance of smectite-based functional membranes. A) Preparation of 2D MMT membrane. B) SEM image of MMT membrane surface, cross-section, and digital photograph of MMT membrane. C) Separation performances of hydrated lamellar MMT membrane using dead-end filtration. D) Effect of membrane hydration on the separation performance of MMT membrane. Adapted with permission from reference 20, copyright 2020 Elsevier. E) Structure diagram of MMT crystal and schematic illustration of the construction of the 2D nanochannel arrays based on the lamellar MMT membrane. F) Digital photo MMT membrane and cross-sectional SEM image. G) Schematic diagram of the 2D nanofluidic device with representative I-V plots of the 2D nanofluidic device under different concentrations of KCl aqueous solution at room temperature and ionic conductance versus KCl concentration. H) Rectification factor as a function of applied bias at KCl electrolyte of various concentrations. Adapted with permission from reference 21, copyright 2018 American Chemical Society. I) Fabrication of the reconstructed MMT membrane (RMM). J) TEM image, digital photograph, and cross-sectional SEM image of an RMM. K) Power generation and permeance/rejection comparison of the RMM. Adapted with permission from reference 22, copyright 2019 Royal Society of Chemistry.
Vermiculite Group
Vermiculites are generally trioctahedral and are termed based on a negative layer charge between 0.5 and 0.9. They are formed mainly by removing potassium from biotite, phlogopite or muscovite, which is why their chemistry is closely linked to mica.11
The vermiculite structure contains interlamellar water layers, which are subjected to the hydration and dehydration processes. The type of interlayer cation controls its hydration properties. The smaller or lower the charge of the cation, the larger the interlayer space becomes. These counter cations confined in the adjacent vermiculite layers feature ultra-high intrinsic ion conductivity. Vermiculite can be easily exfoliated in water by an ion-exchange method, which is much greener and more facile than the chemical exfoliation method commonly used for graphene oxides or Mxenes.10
Shao et al. produced a self-standing vermiculite film by restacking exfoliated vermiculite sheets (Figure 6A–C).23 Ionic exchange methods were adopted for fabrication similar to that of other swelling clays. The surface charge density on the vermiculite walls and proton mobility were determined to be around 1.4 mC m-2 and 1.2 x 10-3 cm2 V-1 s-1, comparable to that of commercial proton conductor Nafion (Figure 6D and 6E). The produced films had extraordinary thermal stability and maintained swelling properties even after annealing in air at elevated temperatures.
Recently, Cao et al. successfully produced a vermiculite lamellar membrane with a two-dimensional nanofluidic channel with outstanding performance in nanofluidic osmotic energy conversion.24 The fabrication process was the same, except they used HCl solution to make in-plane nanopores on vermiculite nanosheets to decrease tortuosity and offer additional vertical ion pathways (Figure 6F and 6G). The porous vermiculite membrane achieved a maximum power density of 10.9 W m-2 at a 1000-fold salinity gradient, outperforming most self-standing phyllosilicate-based 2D lamellar membranes (Figure 6H). The high layer charge compared to smectites and easier exfoliation of nanosheets compared to that of micas gave vermiculites the advantages of being used for building materials for clay-based nanofluidic membranes with high performance. The excellent osmotic energy conversion performance of the porous vermiculite membrane is attributed to the low resistance horizontal and vertical ion transport pathways that facilitate the ion flux. (Figure 6I).
A

B

C

D

E

F

G

H

I

Figure 6. Fabrication and performance of nanofluidic vermiculite membranes. A) Structural model of vermiculite layers. B) A flexbile free-standing vermiculite membrane and the cross-sectional SEM image. C) Schematic illustration and digital photo of the vermiculite nanofluidic device. D) Representative I-V curves through the 2D channels. E) Ionic conductivity as a function of electrolyte concentration. Adapted with permission from reference 23, copyright 2015 Springer Nature. F) Preparation and characterization of porous vermiculite (PV) nanosheets and lamellar membranes (PVM). G) AFM image of PV nanosheets, SEM image of PVMs, and SEM image of microporous PES support. H) Schematic representation of the experimental set-up, and plot of the generated osmotic potential and power density. I) Schematic illustration highlighting the pathways of the lowest resistance of ion transport in a PVM, generating a high flux, while the highly tortuous pathways in a NPVM lead to a high resistance and low ion flux. Adapted with permission from reference 24, copyright 2021 Royal Society of Chemistry.
Conclusion
In this review, we have discussed shortly the applications of 1:1 and 2:1 phyllosilicate material in membrane technology, as well as the basic geometric understanding of their layered structures. Clay minerals have unique properties that allow them to be used suitably for building blocks of laminar membranes with or without chemical modification. Understanding the physical and chemical properties of phyllosilicate materials can help us further develop insights into their possible applications.
Acknowledgements
This work was supported by the Technology Innovation Programme (20012430) funded by the Ministry of Trade, Industry & Energy (MOTIE, Korea).
Author Contributions
H. R. conducted research, analyzed the data, and contributed to writing the paper. W.S. conceived, directed, and supervised the research and contributed to writing the paper. S. K., T. K., J. B., H. K., and J. Y. supported research and data analysis. All authors commented on the manuscript.
Competing Interests
The authors declare no competing interests.
Products
References
To continue reading please sign in or create an account.
Don't Have An Account?