1491332
USP
Paclitaxel
United States Pharmacopeia (USP) Reference Standard
Select a Size
About This Item
grade
pharmaceutical primary standard
API family
paclitaxel
manufacturer/tradename
USP
mp
213 °C (dec.) (lit.)
application(s)
pharmaceutical (small molecule)
format
neat
storage temp.
2-8°C
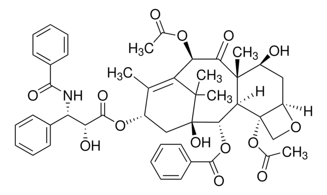
SMILES string
[H][C@@]12C[C@H](O)[C@@]3(C)C(=O)[C@H](OC(C)=O)C4=C(C)[C@H](C[C@@](O)([C@@H](OC(=O)c5ccccc5)[C@]3([H])[C@@]1(CO2)OC(C)=O)C4(C)C)OC(=O)[C@H](O)[C@@H](NC(=O)c6ccccc6)c7ccccc7
InChI
1S/C47H51NO14/c1-25-31(60-43(56)36(52)35(28-16-10-7-11-17-28)48-41(54)29-18-12-8-13-19-29)23-47(57)40(61-42(55)30-20-14-9-15-21-30)38-45(6,32(51)22-33-46(38,24-58-33)62-27(3)50)39(53)37(59-26(2)49)34(25)44(47,4)5/h7-21,31-33,35-38,40,51-52,57H,22-24H2,1-6H3,(H,48,54)/t31-,32-,33+,35-,36+,37+,38-,40-,45+,46-,47+/m0/s1
InChI key
RCINICONZNJXQF-MZXODVADSA-N
Gene Information
Looking for similar products? Visit Product Comparison Guide
Related Categories
General description
Application
- Paclitaxel Injection
- Paclitaxel
Biochem/physiol Actions
Analysis Note
Other Notes
Disclaimer
signalword
Danger
hcodes
Hazard Classifications
Muta. 2 - Repr. 1B - STOT RE 1
target_organs
Central nervous system,Bone marrow,Cardio-vascular system
Storage Class
6.1C - Combustible acute toxic Cat.3 / toxic compounds or compounds which causing chronic effects
wgk_germany
WGK 3
flash_point_f
Not applicable
flash_point_c
Not applicable
Choose from one of the most recent versions:
Already Own This Product?
Find documentation for the products that you have recently purchased in the Document Library.
Our team of scientists has experience in all areas of research including Life Science, Material Science, Chemical Synthesis, Chromatography, Analytical and many others.
Contact Technical Service