V4629
(±)-Verapamil hydrochloride
≥99% (titration), powder, α1-adrenoceptor antagonist
Synonym(s):
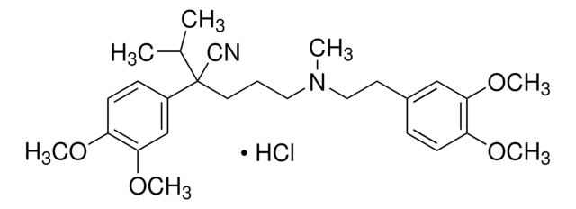
5-[N-(3,4-Dimethoxyphenylethyl)methylamino]-2-(3,4-dimethoxyphenyl)-2-isopropylvaleronitrile hydrochloride
Select a Size
About This Item
Product Name
(±)-Verapamil hydrochloride, ≥99% (titration), powder
Quality Level
assay
≥99% (titration)
form
powder
color
white
mp
142 °C (dec.) (lit.)
solubility
methanol: 50 mg/mL
ethanol: soluble
SMILES string
Cl.COc1ccc(CCN(C)CCCC(C#N)(C(C)C)c2ccc(OC)c(OC)c2)cc1OC
InChI
1S/C27H38N2O4.ClH/c1-20(2)27(19-28,22-10-12-24(31-5)26(18-22)33-7)14-8-15-29(3)16-13-21-9-11-23(30-4)25(17-21)32-6;/h9-12,17-18,20H,8,13-16H2,1-7H3;1H
InChI key
DOQPXTMNIUCOSY-UHFFFAOYSA-N
Gene Information
human ... ADRA1A(148), ADRA1B(147), ADRA1D(146), CACNA1C(775), CACNA1D(776), CACNA1F(778), CACNA1S(779)
Looking for similar products? Visit Product Comparison Guide
Application
- to inhibit calcium oscillation in fertilized oocyte
- to block calcium channel, thereby blocking the action of IL-1β (interleukin-1β), resulting in membrane depolarization
- to investigate the effect of verapamil on cytotoxicity of 1,3-dilinoleoylglycerol (DLG)
Biochem/physiol Actions
Features and Benefits
signalword
Danger
hcodes
Hazard Classifications
Acute Tox. 3 Oral - Aquatic Chronic 2
Storage Class
6.1C - Combustible acute toxic Cat.3 / toxic compounds or compounds which causing chronic effects
wgk_germany
WGK 3
flash_point_f
Not applicable
flash_point_c
Not applicable
ppe
Eyeshields, Faceshields, Gloves, type P2 (EN 143) respirator cartridges
Choose from one of the most recent versions:
Already Own This Product?
Find documentation for the products that you have recently purchased in the Document Library.
Articles
AldeRed™ 588-A detects ALDH activity in cancer stem cells, aiding in cancer research.
Discover Bioactive Small Molecules for ADME/Tox
Our team of scientists has experience in all areas of research including Life Science, Material Science, Chemical Synthesis, Chromatography, Analytical and many others.
Contact Technical Service
