Skip to Content
MilliporeSigma

SML2829

Sigma-Aldrich

SB-204990

≥98% (HPLC), ATP citrate-lyase inhibitor, powder

Synonym(s):

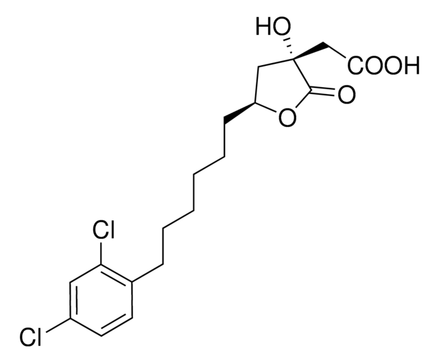
(+/-) (3R*,5S*)-rel-5-[6-(2,4-Dichlorophenyl)hexyl]tetrahydro-3-hydroxy-2-oxo-3-furanacetic acid, SB 201076 prodrug, SB 204990, SB-201076 prodrug, SB201076 prodrug, SB204990

Sign Into View Organizational & Contract Pricing

Select a Size


About This Item

Empirical Formula (Hill Notation):
C18H22Cl2O5
CAS Number:
Molecular Weight:
389.27
UNSPSC Code:
51111800
NACRES:
NA.77
Technical Service
Need help? Our team of experienced scientists is here for you.
Let Us Assist
Technical Service
Need help? Our team of experienced scientists is here for you.
Let Us Assist

Product Name

SB-204990, ≥98% (HPLC)

Quality Level

assay

≥98% (HPLC)

form

powder

color

white to beige

solubility

DMSO: 2 mg/mL, clear

storage temp.

2-8°C

SMILES string

Clc1c(ccc(c1)Cl)CCCCCC[C@H]2OC(=O)[C@@](C2)(O)CC(=O)O

InChI

1S/C18H22Cl2O5/c19-13-8-7-12(15(20)9-13)5-3-1-2-4-6-14-10-18(24,11-16(21)22)17(23)25-14/h7-9,14,24H,1-6,10-11H2,(H,21,22)/t14-,18+/m1/s1

InChI key

YTRNLFYTHYWDAU-KDOFPFPSSA-N

Biochem/physiol Actions

ATP citrate-lyase inhibitor SB-201076 γ-lactone prodrug with cell-permeability, oral availability and in vivo hypocholesterolaemic/hypolipidaemic efficacy.
SB-204990 is a cell-permeable and orally available γ-lactone prodrug of the non-cell-permeable SB-201076 that inhibits human and rat ATP citrate-lyase (Ki =1 μM against human and rat ACL) in a predominantly competitive manner with a small but significant uncompetitive component. SB-204990 treatment is shown to suppress the rate of cellular cholesterol and fatty acid synthesis in HepG2 cultures (by 91% & 82%, respectively, with 30 μM SB-204990), and display hypocholesterolaemic and hypolipidaemic efficacy in vivo when administered in the diet (0.05-0.25%, w/w; mice, rats, dogs).

Storage Class

11 - Combustible Solids

wgk_germany

WGK 3

flash_point_f

Not applicable

flash_point_c

Not applicable


Choose from one of the most recent versions:

Certificates of Analysis (COA)

Lot/Batch Number

It looks like we've run into a problem, but you can still download Certificates of Analysis from our Documents section.

If you need assistance, please contact Customer Support

Already Own This Product?

Find documentation for the products that you have recently purchased in the Document Library.

Visit the Document Library

N J Pearce et al.
The Biochemical journal, 334 ( Pt 1), 113-119 (1998-08-07)
ATP citrate (pro-S)-lyase (EC 4.1.3.8), a cytosolic enzyme that generates acetyl-CoA for cholesterol and fatty acid synthesis de novo, is a potential target for hypolipidaemic intervention. Here we describe the biological effects of the inhibition of ATP citrate-lyase on lipid
B J van Vlijmen et al.
Arzneimittel-Forschung, 48(4), 396-402 (1998-06-03)
Apolipoprotein (APO) E*3-Leiden mice with impaired chylomicron and VLDL (very low density lipoprotein) remnant metabolism display hyperlipidaemia and atherosclerosis. In the present study, these mice were used for testing the hypolipidaemic effect of two marketed agents, lovastatin (CAS 75330-75-5) and

Our team of scientists has experience in all areas of research including Life Science, Material Science, Chemical Synthesis, Chromatography, Analytical and many others.

Contact Technical Service