Skip to Content
MilliporeSigma

S9396

Sigma-Aldrich

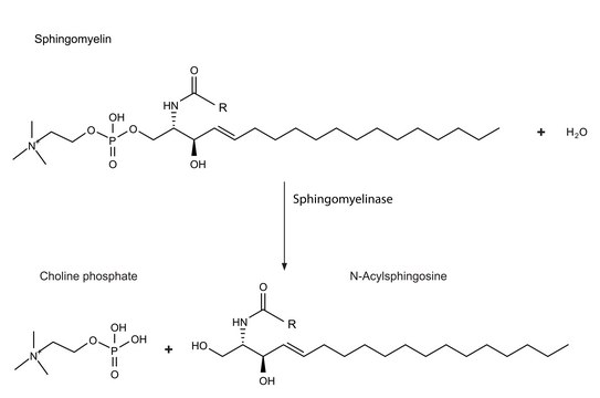
Sphingomyelinase from Bacillus cereus

buffered aqueous glycerol solution, ≥100 units/mg protein (Lowry)

Synonym(s):

Sphingomyelin choline phosphohydrolase, Sphingomyelin phosphodiesterase

Sign Into View Organizational & Contract Pricing

Select a Size


About This Item

CAS Number:
EC Number:
MDL number:
UNSPSC Code:
12352204
NACRES:
NA.54
Technical Service
Need help? Our team of experienced scientists is here for you.
Let Us Assist
Technical Service
Need help? Our team of experienced scientists is here for you.
Let Us Assist

form

buffered aqueous glycerol solution

Quality Level

specific activity

≥100 units/mg protein (Lowry)

mol wt

34.2 kDa

foreign activity

Phospholipase C ≤1%

storage temp.

2-8°C

Gene Information

Bacillus cereus ATCC 10987 ... spH(2751530)

Looking for similar products? Visit Product Comparison Guide

General description

Sphingomyelinase (SMase) is a hydrolase, of 34.2 kDa and its active site contain as a minimum of two magnesium atoms.

Application

Sphingomyelinase from Bacillus cereus has been used:
  • in the study to analyse the effect of sphingomyelinase on Rubella virus infectivity in cell lines
  • in lipoprotein modification for the generation of cholesterol crystals in vitro
  • to aggregate LDL (low-density lipoprotein)

Sphingomyelinase has been used in a study to assess the interaction of actin with the HIV-1 accessory protein Nef. Sphingomyelinase has also been used in a study to investigate X-ray scattering as a quality-control tool for liposomal drug-delivery systems.

Biochem/physiol Actions

Initiates the formation of sphingomyelin-based second messengers. Activates MAPK (mitogen-activated protein kinase) and SAPKs (stress-activated protein kinases); generates ceramide from sphingomyelin.
Sphingomyelin phosphodiesterase (SMPD) participates in the metabolic reactions comprising sphingomyelin. SMPD has the ability to prevent colorectal carcinoma and colitis.

Physical form

Solution in 50% glycerol containing 50 mM Tris-HCl, pH 7.5.

Other Notes

One unit will hydrolyze 1.0 μmole of TNPAL-sphingomyelin per min at pH 7.4 at 37 °C.

Storage Class

10 - Combustible liquids

wgk_germany

WGK 3

flash_point_f

Not applicable

flash_point_c

Not applicable


Choose from one of the most recent versions:

Certificates of Analysis (COA)

Lot/Batch Number

Don't see the Right Version?

If you require a particular version, you can look up a specific certificate by the Lot or Batch number.

Already Own This Product?

Find documentation for the products that you have recently purchased in the Document Library.

Visit the Document Library

Characterization of Sphingomyelin Phosphodiesterase Expression in Bumblebee (Bombus lantschouensis)
Han L, et al.
Journal of Insect Science, 18(5), 20-20 (2018)
Raymond Tan et al.
Experimental and molecular pathology, 94(1), 51-57 (2012-06-23)
The HIV-1 accessory protein Nef is considered to play an important role in the development of a podocyte phenotype in HIV-1 associated nephropathy. We hypothesized that Nef may be altering the podocyte phenotype both structurally and functionally. To elucidate the
Analysis of the Effect of Sphingomyelinase on Rubella Virus Infectivity in Two Cell Lines
Otsuki N, et al.
Journal of virology (2017)
Extracellular lipids accumulate in human carotid arteries as distinct three-dimensional structures and have proinflammatory properties
Lehti S, et al.
The American Journal of Pathology, 188(2), 525-538 (2018)
The Bacillus cereus group
Molecular Medical Microbiology, 1041-1078 (2015)

Our team of scientists has experience in all areas of research including Life Science, Material Science, Chemical Synthesis, Chromatography, Analytical and many others.

Contact Technical Service