Skip to Content
MilliporeSigma

P5660

Sigma-Aldrich

3-sn-Phosphatidyl-L-serine sodium salt from bovine brain

≥95% (TLC), Procoagulant and Hemostatic regulator, powder

Synonym(s):

1,2-Diacyl-sn-glycero-3-phospho-L-serine, L-α-Phosphatidyl-L-serine sodium salt

Sign Into View Organizational & Contract Pricing

Select a Size


About This Item

MDL number:
UNSPSC Code:
12352200
PubChem Substance ID:
NACRES:
NA.77
Technical Service
Need help? Our team of experienced scientists is here for you.
Let Us Assist
Technical Service
Need help? Our team of experienced scientists is here for you.
Let Us Assist

Product Name

3-sn-Phosphatidyl-L-serine sodium salt from bovine brain, ≥95% (TLC)

Quality Level

assay

≥95% (TLC)

form

powder

storage temp.

−20°C

SMILES string

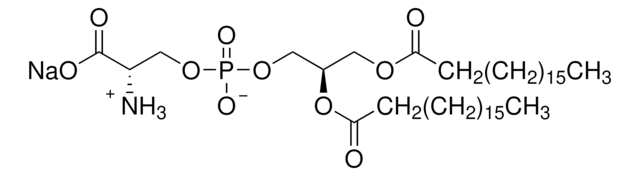
[Na+].CCCCCCCCCCCCCCCCCC(=O)OC[C@H](COP(O)(=O)OC[C@H](N)C([O-])=O)OC(=O)CCCCCCCCCCCCCCCCC

InChI

1S/C42H82NO10P.Na/c1-3-5-7-9-11-13-15-17-19-21-23-25-27-29-31-33-40(44)50-35-38(36-51-54(48,49)52-37-39(43)42(46)47)53-41(45)34-32-30-28-26-24-22-20-18-16-14-12-10-8-6-4-2;/h38-39H,3-37,43H2,1-2H3,(H,46,47)(H,48,49);/q;+1/p-1/t38-,39+;/m1./s1

InChI key

SJRBMGBLPUBGJL-MBAWARMDSA-M

General description

Phosphatidylserine is an anionic phospholipid, which is found on the plasma membrane. Exposure of phosphatidylserine on the surface of plasma membrane stimulates the removal of apoptotic and red blood cells. It regulates the production of thrombin and maintains hemostasis.

Application

3-sn-Phosphatidyl-L-serine sodium salt from bovine brain has been used as a glycosylphosphatidylinositol (GPI)-anchor control.

Biochem/physiol Actions

A slowly metabolized structural phospholipid found mainly in gray matter.

Preparation Note

Washed with EDTA and converted to a sodium salt.

Disclaimer

Solutions exposed to room temperature will decompose about 0.5% per day.

Storage Class

11 - Combustible Solids

wgk_germany

WGK 3

flash_point_f

Not applicable

flash_point_c

Not applicable

ppe

Eyeshields, Gloves, type N95 (US)


Choose from one of the most recent versions:

Certificates of Analysis (COA)

Lot/Batch Number

Don't see the Right Version?

If you require a particular version, you can look up a specific certificate by the Lot or Batch number.

Already Own This Product?

Find documentation for the products that you have recently purchased in the Document Library.

Visit the Document Library

The role of phosphatidylserine in recognition and removal of erythrocytes.
Kuypers FD
Cellular and molecular biology (Noisy-le-Grand, France), 50(2), 147-158 (2004)
Phosphatidylserine exposure during apoptosis is a cell-type-specific event and does not correlate with plasma membrane phospholipid scramblase expression
Fadeel B, et al.
Biochemical and Biophysical Research Communications, 266(2), 504-511 (1999)
TIMP-1-GPI in combination with hyperthermic treatment of melanoma increases sensitivity to FAS-mediated apoptosis
Djafarzadeh R, et al.
Cancer Immunology, Immunotherapy, 58(3), 361-361 (2009)
Exposure of platelet membrane phosphatidylserine regulates blood coagulation
Lentz BR
Progress in Lipid Research, 42(5), 423-438 (2003)
Julien Perino et al.
Antiviral research, 89(1), 89-97 (2010-11-26)
Vaccinia virus (VACV) was used as a surrogate of Variola virus (genus Orthopoxvirus), the causative agent of smallpox, to study orthopoxvirus infection via the respiratory airway. Lung surfactant, a physiological barrier to infection encountered by the virus, is predominantly composed

Our team of scientists has experience in all areas of research including Life Science, Material Science, Chemical Synthesis, Chromatography, Analytical and many others.

Contact Technical Service