P3134
Phosphodiesterase I from Crotalus adamanteus venom
Type VI, crude dried venom
Synonym(s):
5′-Exonuclease, Oligonucleate 5′-nucleotidohydrolase
Looking for similar products? Visit Product Comparison Guide
General description
Research area: Cell signaling. PhosphodiesteraseI (PDEI) exists in three isoforms PDE1A, PDE1B, and PDE1C(2) are localized to the central nervous system, cardiovascular, and other organs.
Application
Phosphodiesterase I from Crotalus adamanteus venom has been used:
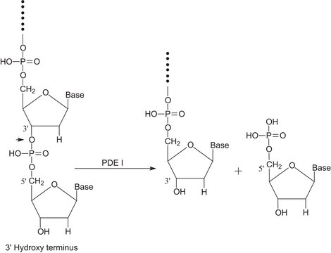
- for cleaving the 3′-5′ internucleotide bonds in the linear chains of the RNA oligomers
- as a model for the hydrolysis of prodrugs in phosphodiesterase assay
- as a component in the nucleotide cleavage buffer
Biochem/physiol Actions
Phosphodiesterase I breaks phosphodiester bonds and catalyzes the hydrolysis of various nucleotide polyphosphates. Phosphodiesterase I is released from eucaryotic plasma membranes by phosphatidylinositol-specific phospholipase C. PhosphodiesteraseI (PDEI) can hydrolyze 3′,5′-cyclic adenosine monophosphate (cAMP) and3′,5′-cyclic guanosine monophosphate (cGMP). It binds to Ca2+/calmodulin(CaM) that lead to the stimulation of its catalytic activity.PDEIacts as a biotherapeutic for the treatment of cancer, heart diseases,pulmonary, metabolic, neurocognitive, renal, endocrine abnormalities, andneurological disorders.
signalword
Danger
hcodes
pcodes
Hazard Classifications
Resp. Sens. 1
Storage Class
11 - Combustible Solids
wgk_germany
WGK 1
flash_point_f
Not applicable
flash_point_c
Not applicable
Choose from one of the most recent versions:
Already Own This Product?
Find documentation for the products that you have recently purchased in the Document Library.
Chemical toxicity testing in vitro using cytochrome P450--expressing cell lines, such as human CYP1B1
Landsiedel R, et al.
Nature Protocols, 6(5), 677-677 (2011)
Formation of RNA oligonucleotides over the mineral surface preliminary irradiated with UV light
Otroshchenko VA and Vasilyeva NV
Reaction Kinetics and Catalysis Letters, 97(1), 151-156 (2009)
Anatoly I Dragan et al.
Nucleic acids research, 32(17), 5192-5197 (2004-10-02)
The interaction of proteins with DNA results, in some cases, in DNA bending, and this might have functional importance. However, when the protein-induced bending of DNA is small, its measurement presents a problem. It is shown that the fluorescence resonance
Ester prodrugs of acyclic nucleoside thiophosphonates compared to phosphonates: synthesis, antiviral activity and decomposition study
Roux L, et al.
European Journal of Medicinal Chemistry, 63, 869-881 (2013)
Suxiang Chen et al.
Scientific reports, 9(1), 6078-6078 (2019-04-17)
Antisense oligonucleotide (AO)-mediated splice modulation has been established as a therapeutic approach for tackling genetic diseases. Recently, Exondys51, a drug that aims to correct splicing defects in the dystrophin gene was approved by the US Food and Drug Administration (FDA)
Our team of scientists has experience in all areas of research including Life Science, Material Science, Chemical Synthesis, Chromatography, Analytical and many others.
Contact Technical Service