Skip to Content
MilliporeSigma

P2663

Sigma-Aldrich

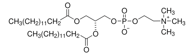
1,2-Dimyristoyl-sn-glycero-3-phosphocholine

≥99%

Synonym(s):

1,2-Ditetradecanoyl-sn-glycero-3-phosphocholine, 3-sn-Phosphatidylcholine, 1,2-dimyristoyl, L-β,γ-Dimyristoyl-α-lecithin

Sign Into View Organizational & Contract Pricing

Select a Size


About This Item

Empirical Formula (Hill Notation):
C36H72NO8P
CAS Number:
Molecular Weight:
677.93
Beilstein/REAXYS Number:
3921768
EC Number:
MDL number:
UNSPSC Code:
12352211
PubChem Substance ID:
NACRES:
NA.77
Technical Service
Need help? Our team of experienced scientists is here for you.
Let Us Assist
Technical Service
Need help? Our team of experienced scientists is here for you.
Let Us Assist

Quality Level

assay

≥99%

form

powder

lipid type

phosphoglycerides

storage temp.

−20°C

SMILES string

[O-]P(OCC[N+](C)(C)C)(OC[C@]([H])(OC(CCCCCCCCCCCCC)=O)COC(CCCCCCCCCCCCC)=O)=O

InChI

1S/C36H72NO8P/c1-6-8-10-12-14-16-18-20-22-24-26-28-35(38)42-32-34(33-44-46(40,41)43-31-30-37(3,4)5)45-36(39)29-27-25-23-21-19-17-15-13-11-9-7-2/h34H,6-33H2,1-5H3/t34-/m1/s1

InChI key

CITHEXJVPOWHKC-UUWRZZSWSA-N

Looking for similar products? Visit Product Comparison Guide

Application

1,2-Dimyristoyl-sn-glycero-3-phosphocholine has been used as a standard for phospholipid analysis by LC-ESI-MS.

Biochem/physiol Actions

1,2-Dimyristoyl-sn-glycero-3-phosphocholine (DMPC) has the ability to enhance the constancy and in vitro antiproliferative effect of carmofur.

Storage Class

11 - Combustible Solids

wgk_germany

WGK 3

flash_point_f

Not applicable

flash_point_c

Not applicable

ppe

Eyeshields, Gloves, type N95 (US)


Choose from one of the most recent versions:

Certificates of Analysis (COA)

Lot/Batch Number

Don't see the Right Version?

If you require a particular version, you can look up a specific certificate by the Lot or Batch number.

Already Own This Product?

Find documentation for the products that you have recently purchased in the Document Library.

Visit the Document Library

1, 2-Dimyristoyl-sn-glycero-3-phosphocholine (DMPC) increases Carmofur stability and in vitro antiproliferative effect
Domracheva I, et al.
Toxicology Reports, 2, 377-383 (2015)
Assessment of the effects of hydrocarbon contamination on the sedimentary bacterial communities and determination of the polar lipid fraction purity: relevance of intact phospholipid analysis
Mazzella N, et al.
Marine Chemistry, 103(3-4), 304-317 (2007)
Brian S Vad et al.
The Journal of membrane biology, 248(3), 487-496 (2015-03-25)
The biological activity of antimicrobial peptides is believed to be closely linked to their ability to perturb bacterial membranes. This makes it important to understand the basis of their membrane-binding properties. Here, we present a biophysical analysis of the interactions
Sevim Ozgur et al.
Molecular and cellular biology, 30(17), 4308-4323 (2010-06-30)
In eukaryotic cells, degradation of many mRNAs is initiated by removal of the poly(A) tail followed by decapping and 5'-3' exonucleolytic decay. Although the order of these events is well established, we are still lacking a mechanistic understanding of how
Liyang Cui et al.
ACS nano, 9(4), 4484-4495 (2015-04-02)
PEGylation (PEG) is the most commonly adopted strategy to prolong nanoparticles' vascular circulation by mitigating the reticuloendothelial system uptake. However, there remain many concerns in regards to its immunogenicity, targeting efficiency, etc., which inspires pursuit of alternate, non-PEGylated systems. We

Articles

Discover Bioactive Small Molecules for Lipid Signaling Research

Our team of scientists has experience in all areas of research including Life Science, Material Science, Chemical Synthesis, Chromatography, Analytical and many others.

Contact Technical Service