P2141
Phalloidin Peptide
≥90% (HPLC), powder
Synonym(s):
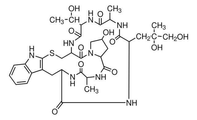
28-(2,3-dihydroxy-2-methylpropyl)-18-hydroxy-34-(1-hydroxyethyl)-23,31-dimethyl-12-thia-10,16,22,25,27,30,33,36-octazapentacyclo[12.11.11.03,11.04,9.016,20]hexatriaconta-3(11),4,6,8-tetraene-15,21,24,26,29,32,35-heptone
Select a Size
About This Item
Product Name
Phalloidin from Amanita phalloides, ≥90%
biological source
Amanita phalloides
Quality Level
assay
≥90%
form
powder
SMILES string
CC(O)C1NC(=O)C(C)NC(=O)C(CC(C)(O)CO)NC(=O)C2Cc3c(SCC(NC1=O)C(=O)N4CC(O)CC4C(=O)NC(C)C(=O)N2)[nH]c5ccccc35
InChI
1S/C35H48N8O11S/c1-15-27(47)38-22-10-20-19-7-5-6-8-21(19)41-33(20)55-13-24(34(53)43-12-18(46)9-25(43)31(51)37-15)40-32(52)26(17(3)45)42-28(48)16(2)36-30(50)23(39-29(22)49)11-35(4,54)14-44/h5-8,15-18,22-26,41,44-46,54H,9-14H2,1-4H3,(H,36,50)(H,37,51)(H,38,47)(H,39,49)(H,40,52)(H,42,48)
InChI key
KPKZJLCSROULON-UHFFFAOYSA-N
Looking for similar products? Visit Product Comparison Guide
Related Categories
General description
Application
- As a supplement in PEM buffer and dimethyl sulfoxide (DMSO).
- As a drug.
- In immunohistochemistry to stain F-actin.
Biochem/physiol Actions
actin-rich structures.
signalword
Danger
hcodes
Hazard Classifications
Acute Tox. 2 Oral
Storage Class
6.1A - Combustible acute toxic Cat. 1 and 2 / very toxic hazardous materials
wgk_germany
WGK 3
flash_point_f
Not applicable
flash_point_c
Not applicable
Choose from one of the most recent versions:
Already Own This Product?
Find documentation for the products that you have recently purchased in the Document Library.
Related Content
Our team of scientists has experience in all areas of research including Life Science, Material Science, Chemical Synthesis, Chromatography, Analytical and many others.
Contact Technical Service