Skip to Content
MilliporeSigma

P1348

Sigma-Aldrich

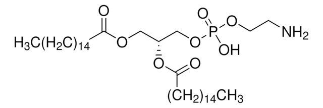
1,2-Dipalmitoyl-sn-glycero-3-phosphoethanolamine

≥97%

Synonym(s):

1,2-Dihexadecanoyl-sn-glycero-3-phosphoethanolamine, 3-sn-Phosphatidylethanolamine, 1,2-dipalmitoyl, L-α-Phosphatidylethanolamine, dipalmitoyl, L-β,γ-Dipalmitoyl-α-cephalin, DPPE, Dipalmitoyl phosphatidylethanolamine, Hexadecanoic acid (1R)-1-[[[(2-aminoethoxy)hydroxyphosphinyl]oxy]methyl]-1,2-ethanediyl ester, PE(16:0/16:0)

Sign Into View Organizational & Contract Pricing

Select a Size


About This Item

Empirical Formula (Hill Notation):
C37H74NO8P
CAS Number:
Molecular Weight:
691.96
Beilstein/REAXYS Number:
1730601
MDL number:
UNSPSC Code:
51191904
PubChem Substance ID:
NACRES:
NA.25
Technical Service
Need help? Our team of experienced scientists is here for you.
Let Us Assist
Technical Service
Need help? Our team of experienced scientists is here for you.
Let Us Assist

Quality Level

assay

≥97%

form

powder

functional group

amine
ester

lipid type

phosphoglycerides

shipped in

ambient

storage temp.

−20°C

SMILES string

CCCCCCCCCCCCCCCC(=O)OC[C@H](COP(O)(=O)OCCN)OC(=O)CCCCCCCCCCCCCCC

InChI

1S/C37H74NO8P/c1-3-5-7-9-11-13-15-17-19-21-23-25-27-29-36(39)43-33-35(34-45-47(41,42)44-32-31-38)46-37(40)30-28-26-24-22-20-18-16-14-12-10-8-6-4-2/h35H,3-34,38H2,1-2H3,(H,41,42)/t35-/m1/s1

InChI key

SLKDGVPOSSLUAI-PGUFJCEWSA-N

Looking for similar products? Visit Product Comparison Guide

Application

1,2-Dipalmitoyl-sn-glycero-3-phosphoethanolamine is used in model membrane .

Biochem/physiol Actions

1,2-Dipalmitoyl-sn-glycero-3-phosphoethanolamine is a phospholipid, a lipid component in cell membrane .

Storage Class

11 - Combustible Solids

wgk_germany

WGK 3

flash_point_f

Not applicable

flash_point_c

Not applicable

ppe

Eyeshields, Gloves, type N95 (US)


Choose from one of the most recent versions:

Certificates of Analysis (COA)

Lot/Batch Number

Don't see the Right Version?

If you require a particular version, you can look up a specific certificate by the Lot or Batch number.

Already Own This Product?

Find documentation for the products that you have recently purchased in the Document Library.

Visit the Document Library

Santhosh Kalash Rajendrakumar et al.
International journal of molecular sciences, 19(4) (2018-04-14)
To prolong blood circulation and avoid the triggering of immune responses, nanoparticles in the bloodstream require conjugation with polyethylene glycol (PEG). However, PEGylation hinders the interaction between the nanoparticles and the tumor cells and therefore limits the applications of PEGylated
Jarungjit Rujiviphat et al.
Journal of molecular biology, 427(16), 2599-2609 (2015-03-19)
Large GTPases of the dynamin superfamily promote membrane fusion and division, processes that are crucial for intracellular trafficking and organellar dynamics. To promote membrane scission, dynamin proteins polymerize, wrap around, and constrict the membrane; however, the mechanism underlying their role
Hanping Wu et al.
Ultrasound in medicine & biology, 45(9), 2502-2514 (2019-06-30)
Our group recently presented a simple strategy using the non-ionic surfactant, Pluronic, as a size control excipient to produce nanobubbles in the 100-nm range, which exhibited stability and echogenicity on par with clinically available microbubbles. The objective of the present
Robert J Paproski et al.
Small (Weinheim an der Bergstrasse, Germany), 12(3), 371-380 (2015-12-04)
A novel class of all-organic nanoscale porphyrin nanodroplet agents is presented which is suitable for multimodality ultrasound and photoacoustic molecular imaging. Previous multimodality photoacoustic-ultrasound agents are either not organic, or not yet demonstrated to exhibit enhanced accumulation in leaky tumor
Muhammad S Khan et al.
European biophysics journal : EBJ, 45(8), 843-852 (2016-08-03)
Black lipid membranes (BLMs) have been used for detecting single-channel activities of pore-forming peptides and ion channels. However, the short lifetimes and poor mechanical stability of suspended bilayers limit their applications in high throughput electrophysiological experiments. In this work, we present

Our team of scientists has experience in all areas of research including Life Science, Material Science, Chemical Synthesis, Chromatography, Analytical and many others.

Contact Technical Service