M5273
Monensin sodium salt
90-95% (TLC), Sodium ionophore
Synonym(s):
Monensin A sodium salt
Select a Size
About This Item
Product Name
Monensin sodium salt, 90-95% (TLC)
Quality Level
assay
90-95% (TLC)
antibiotic activity spectrum
Gram-negative bacteria
Gram-positive bacteria
fungi
parasites
viruses
mode of action
cell membrane | interferes
storage temp.
2-8°C
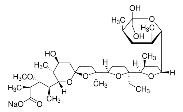
SMILES string
[H][C@]1([C@@]2(CC)O[C@]([C@@]3(C)OC4(C[C@H](O)[C@@H](C)[C@@]([H])([C@@H](C)[C@@H](OC)[C@@H](C([O-])=O)C)O4)CC3)([H])CC2)[C@@H](C)C[C@]([H])([C@@]5([H])O[C@@](O)(CO)[C@H](C)C[C@@H]5C)O1.[Na+]
InChI
1S/C36H62O11.Na/c1-10-34(31-20(3)16-26(43-31)28-19(2)15-21(4)36(41,18-37)46-28)12-11-27(44-34)33(8)13-14-35(47-33)17-25(38)22(5)30(45-35)23(6)29(42-9)24(7)32(39)40;/h19-31,37-38,41H,10-18H2,1-9H3,(H,39,40);/q;+1/p-1/t19-,20-,21+,22+,23-,24-,25-,26+,27+,28-,29+,30-,31+,33-,34-,35?,36-;/m0./s1
InChI key
XOIQMTLWECTKJL-BEMBKCOJSA-M
Looking for similar products? Visit Product Comparison Guide
General description
Application
- for the intracellular staining of cytokines
- to study its effects on the regulation of nuclear factor-κ B (NF-κB ) activation
- as a positive control to study its effects on in vitro rumen fermentation
Biochem/physiol Actions
Preparation Note
signalword
Danger
hcodes
Hazard Classifications
Acute Tox. 2 Oral - Aquatic Chronic 2 - Eye Irrit. 2 - STOT RE 2
target_organs
Heart,muscle
Storage Class
6.1A - Combustible acute toxic Cat. 1 and 2 / very toxic hazardous materials
wgk_germany
WGK 3
flash_point_f
Not applicable
flash_point_c
Not applicable
ppe
Eyeshields, Faceshields, Gloves, type P2 (EN 143) respirator cartridges
Choose from one of the most recent versions:
Already Own This Product?
Find documentation for the products that you have recently purchased in the Document Library.
Related Content
Our team of scientists has experience in all areas of research including Life Science, Material Science, Chemical Synthesis, Chromatography, Analytical and many others.
Contact Technical Service

