Skip to Content
MilliporeSigma

L8008

Sigma-Aldrich

Luteinizing hormone releasing hormone

≥97% (HPLC)

Synonym(s):

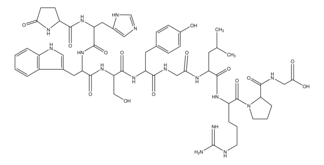
GnRH, Gonadotropin-releasing hormone, LH-RH, [Gly-OH10]-LH-RH, pGlu-His-Trp-Ser-Tyr-Gly-Leu-Arg-Pro-Gly

Sign Into View Organizational & Contract Pricing

Select a Size


About This Item

Empirical Formula (Hill Notation):
C55H74N16O14
CAS Number:
Molecular Weight:
1183.27
MDL number:
UNSPSC Code:
12352209
PubChem Substance ID:
NACRES:
NA.26
Technical Service
Need help? Our team of experienced scientists is here for you.
Let Us Assist
Technical Service
Need help? Our team of experienced scientists is here for you.
Let Us Assist

Product Name

Luteinizing hormone releasing hormone, ≥97% (HPLC)

Quality Level

assay

≥97% (HPLC)

form

powder

color

white

application(s)

cell analysis

storage temp.

−20°C

SMILES string

CC(C)CC(NC(=O)CNC(=O)C(Cc1ccc(O)cc1)NC(=O)C(CO)NC(=O)C(Cc2c[nH]c3ccccc23)NC(=O)C(Cc4cnc[nH]4)NC(=O)C5CCC(=O)N5)C(=O)NC(CCCNC(N)=N)C(=O)N6CCCC6C(=O)NCC(O)=O

InChI

1S/C55H74N16O14/c1-29(2)19-38(49(80)66-37(9-5-17-59-55(56)57)54(85)71-18-6-10-43(71)53(84)62-26-46(76)77)65-45(75)25-61-47(78)39(20-30-11-13-33(73)14-12-30)67-52(83)42(27-72)70-50(81)40(21-31-23-60-35-8-4-3-7-34(31)35)68-51(82)41(22-32-24-58-28-63-32)69-48(79)36-15-16-44(74)64-36/h3-4,7-8,11-14,23-24,28-29,36-43,60,72-73H,5-6,9-10,15-22,25-27H2,1-2H3,(H,58,63)(H,61,78)(H,62,84)(H,64,74)(H,65,75)(H,66,80)(H,67,83)(H,68,82)(H,69,79)(H,70,81)(H,76,77)(H4,56,57,59)

InChI key

IGACZQNUZMBGFX-UHFFFAOYSA-N

Looking for similar products? Visit Product Comparison Guide

Amino Acid Sequence

Glp-His-Trp-Ser-Tyr-Gly-Leu-Arg-Pro-Gly

Biochem/physiol Actions

Luteinizing hormone releasing hormone (LH-RH) is used to release follicle-stimulating hormone (FSH) and luteinizing hormone (LH) from the anterior pituitary and to study many normal and pathological processes.

Packaging

Bottomless glass bottle. Contents are inside inserted fused cone.

Storage Class

11 - Combustible Solids

wgk_germany

WGK 3

flash_point_f

Not applicable

flash_point_c

Not applicable

ppe

Eyeshields, Gloves, type P3 (EN 143) respirator cartridges


Choose from one of the most recent versions:

Certificates of Analysis (COA)

Lot/Batch Number

Don't see the Right Version?

If you require a particular version, you can look up a specific certificate by the Lot or Batch number.

Already Own This Product?

Find documentation for the products that you have recently purchased in the Document Library.

Visit the Document Library

Runa Özelçi et al.
Turkish journal of medical sciences, 49(4), 1138-1144 (2019-07-12)
Diminished ovarian reserve (DOR) represents a major challenge in reproductive medicine, as it is often associated with poor ovarian stimulation response, high cycle cancellation rate, and low pregnancy rate. The aim of the present study is to compare the
Mohannad Alharbi et al.
Asian journal of andrology, 22(4), 348-353 (2019-10-02)
Sperm DNA fragmentation (SDF) has been linked with male infertility, and previous studies suggest that SDF can have negative influence on pregnancy outcomes with assisted reproduction. We performed a retrospective review of consecutive couples with a high SDF level that
Daniel J Mathew et al.
Biology of reproduction, 100(2), 365-380 (2018-09-12)
This study investigated bovine conceptus-induced modifications to the endometrial transcriptome related to effects of interferon tau (IFNT), conceptus origin (in vivo vs. in vitro), and conceptus sex. In vitro (IVF) or in vivo (superovulation and artificial insemination, AI) produced blastocysts
Daniela P A F Braga et al.
Molecular reproduction and development, 86(8), 1044-1052 (2019-06-20)
The aim of the present case-control study was to develop a noninvasive adjuvant tool for the diagnosis of endometriosis. Serum samples from 100 patients undergoing intracytoplasmic sperm injection were split into two groups according to the cause of infertility: an
H Christoph Liedtke et al.
G3 (Bethesda, Md.), 9(8), 2647-2655 (2019-06-21)
Amphibians are highly vulnerable and diverse vertebrates for which we still have modest genomic resources. Amphibian larvae are key components of continental wetlands, where they have strong influences on energy fluxes, nutrient cycling, and community structure. Amphibian larvae are highly

Our team of scientists has experience in all areas of research including Life Science, Material Science, Chemical Synthesis, Chromatography, Analytical and many others.

Contact Technical Service