Skip to Content
MilliporeSigma

G7753

Sigma-Aldrich

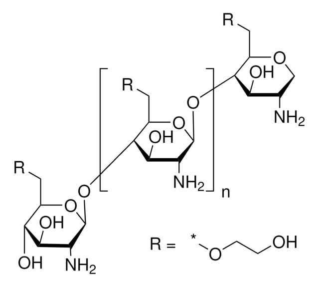
Glycol chitosan

≥60% (titration), crystalline

Synonym(s):

Glycol chitin, deacetylated

Sign Into View Organizational & Contract Pricing

Select a Size


About This Item

CAS Number:
MDL number:
UNSPSC Code:
12352201
NACRES:
NA.25
Technical Service
Need help? Our team of experienced scientists is here for you.
Let Us Assist
Technical Service
Need help? Our team of experienced scientists is here for you.
Let Us Assist

form

crystalline

Quality Level

mol wt

degree of polymerization ≥400

concentration

≥60% (titration)

storage temp.

−20°C

Application

Glycol chitosan increases membrane permeability and leakage in Glycine max Harosoy 63w cells.

Other Notes

To gain a comprehensive understanding of our extensive range of Polysaccharides for your research, we encourage you to visit our Carbohydrates Category page.

Storage Class

11 - Combustible Solids

wgk_germany

WGK 3

flash_point_f

Not applicable

flash_point_c

Not applicable

ppe

Eyeshields, Gloves, type N95 (US)


Choose from one of the most recent versions:

Certificates of Analysis (COA)

Lot/Batch Number

Don't see the Right Version?

If you require a particular version, you can look up a specific certificate by the Lot or Batch number.

Already Own This Product?

Find documentation for the products that you have recently purchased in the Document Library.

Visit the Document Library

Gianni Ciofani et al.
International journal of nanomedicine, 7, 19-24 (2012-01-26)
Boron nitride nanotubes (BNNTs) have attracted huge attention in many different research fields thanks to their outstanding chemical and physical properties. During recent years, our group has pioneered the use of BNNTs for biomedical applications, first of all assessing their
D H Young et al.
Plant physiology, 70(5), 1449-1454 (1982-11-01)
Treatment of suspension-cultured Glycine max cv Harosoy 63 cells with soluble chitosan (20-500 micrograms per milliliter) increased membrane permeability as shown by leakage of electrolytes, protein, and UV absorbing material. Severe damage to the cell membrane by chitosan (100 and
Gianni Ciofani et al.
Nanoscale research letters, 5(7), 1093-1101 (2010-07-03)
In the latest years, innovative nanomaterials have attracted a dramatic and exponentially increasing interest, in particular for their potential applications in the biomedical field. In this paper, we reported our findings on the cytocompatibility of barium titanate nanoparticles (BTNPs), an
Yong-Su Song et al.
Microbial pathogenesis, 129, 277-283 (2019-03-03)
To investigate the temperature requirements of chitosanase activity, as well as the degradation patterns generated by enzyme-induced chitosan oligomer hydrolysis, Pedobacter sp. PR-M6 was inoculated onto 0.5% colloidal chitosan medium agar plates. Cell growth was higher at 30 °C than at
Navneet Kaur et al.
Carbohydrate polymers, 237, 116170-116170 (2020-04-04)
Poly (lactide-co-glycolide) (PLGA) nanoparticles surface functionalized with water soluble glycol chitosan (GC) and carboxymethyl chitosan (CMC) has been studied for their drug (Paclitaxel and Doxorubicin) loading, yield, cellular uptake, serum protein adsorption and hemocompatibility. It was observed that Paclitaxel (Ptxl)

Our team of scientists has experience in all areas of research including Life Science, Material Science, Chemical Synthesis, Chromatography, Analytical and many others.

Contact Technical Service