G1270
L-Glutamine Synthetase from Escherichia coli
lyophilized powder, 400-2,000 units/mg protein
Synonym(s):
L-Glutamate:ammonia ligase (ADP-forming)
Sign Into View Organizational & Contract Pricing
Select a Size
About This Item
CAS Number:
MDL number:
UNSPSC Code:
12352204
NACRES:
NA.26
form
lyophilized powder
Quality Level
specific activity
400-2,000 units/mg protein
purified by
affinity chromatography
contains
dithioerythritol as preservative
composition
Protein, ~5% Lowry
solubility
H2O: soluble 0.95-1.05 mg/mL, clear to hazy
UniProt accession no.
foreign activity
ATPase <0.2%
storage temp.
−20°C
Gene Information
Escherichia coli K12  ...  glnA(948370)   
General description
L-Glutamine Synthetase from bacteria shows dodecameric structure comprising of 12 active sites. Each active site termed bifunnel, has an ATP and glutamate binding sites. The dodecamer is stabilized by two hexameric rings.
Application
L-Glutamine Synthetase from Escherichia coli has been used in the synthesis of methylglutamine from methylammonium in E coli and in the glutamine synthetase protection activity of human thioredoxin peroxidase enzyme, AOE372.
L-Glutamine synthetase may be used for the purification of proteases from Escherichia coli.
Biochem/physiol Actions
Degradative enzyme for glutamic acid
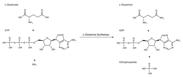
L-glutamine synthetase catalyzes the condensation of L-glutamate and ammonia to L-glutamine. It is a degradative enzyme for glutamic acid.
Nitrogen starvation dictates the expression of the glutamine synthetase (GS) gene in E. coli. GS plays a key role in ammonia assimilation in bacteria. Adenylylation of GS is catalyzed by adenylyltransferase. Adenylylation of GS modulates its catalytic functionality resulting in glutamine limitation in E coli.
Physical form
Contains potassium phosphate, sodium citrate and magnesium acetate buffer salts
Other Notes
One unit will convert 1.0 μmole of L-glutamate to L-glutamine in 15 min at pH 7.1 at 37 °C.
signalword
Danger
hcodes
pcodes
Hazard Classifications
Resp. Sens. 1
Storage Class
11 - Combustible Solids
wgk_germany
WGK 1
flash_point_f
Not applicable
flash_point_c
Not applicable
ppe
Eyeshields, Gloves, type N95 (US)
Choose from one of the most recent versions:
Already Own This Product?
Find documentation for the products that you have recently purchased in the Document Library.
Structure-function relationships of glutamine synthetases
Eisenberg D, et al. 
Biochimica et Biophysica Acta, Protein Structure and Molecular Enzymology, 1477(1-2), 122-145 (2000)
Reversible Adenylylation of Glutamine Synthetase Is Dynamically Counterbalanced during Steady-State
Okano H, et al. 
Journal of molecular biology, 404(1), 522-536 (2010)
Ammonia acquisition in enteric bacteria: physiological role of the ammonium/methylammonium transport B (AmtB) protein
Soupene E, et al. 
Proceedings of the National Academy of Sciences of the USA, 95(12), 7030-7034 (1998)
Structural Analysis of Glutamine Synthetase from Helicobacter pylori
Joo HK, et al. 
Scientific Reports, 8(1), 11657-11657 (2018)
Regulatory role for a novel human thioredoxin peroxidase in NF-kappaB activation
Jin DY, et al. 
The Journal of Biological Chemistry, 272(49), 30952-30961 (1997)
Related Content
Our team of scientists has experience in all areas of research including Life Science, Material Science, Chemical Synthesis, Chromatography, Analytical and many others.
Contact Technical Service