E2129
Evans Blue
Dye content ≥75 %, Powder
Synonym(s):
Direct Blue 53
Select a Size
About This Item
Product Name
Evans Blue, Dye content ≥75 %
form
powder
Quality Level
composition
Dye content, ≥75%
technique(s)
titration: suitable
application(s)
diagnostic assay manufacturing
hematology
histology
storage temp.
room temp
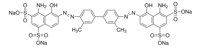
SMILES string
[Na+].[Na+].[Na+].[Na+].Cc1cc(ccc1\N=N\c2ccc3c(cc(c(N)c3c2O)S([O-])(=O)=O)S([O-])(=O)=O)-c4ccc(\N=N\c5ccc6c(cc(c(N)c6c5O)S([O-])(=O)=O)S([O-])(=O)=O)c(C)c4
InChI
1S/C34H28N6O14S4.4Na/c1-15-11-17(3-7-21(15)37-39-23-9-5-19-25(55(43,44)45)13-27(57(49,50)51)31(35)29(19)33(23)41)18-4-8-22(16(2)12-18)38-40-24-10-6-20-26(56(46,47)48)14-28(58(52,53)54)32(36)30(20)34(24)42;;;;/h3-14,41-42H,35-36H2,1-2H3,(H,43,44,45)(H,46,47,48)(H,49,50,51)(H,52,53,54);;;;/q;4*+1/p-4/b39-37+,40-38+;;;;
InChI key
ATNOAWAQFYGAOY-GPTZEZBUSA-J
Gene Information
human ... PTPN1(5770), PTPRF(5792)
Looking for similar products? Visit Product Comparison Guide
Related Categories
General description
Application
Biochem/physiol Actions
signalword
Danger
hcodes
Hazard Classifications
Carc. 1B
Storage Class
6.1C - Combustible acute toxic Cat.3 / toxic compounds or compounds which causing chronic effects
wgk_germany
WGK 3
flash_point_f
Not applicable
flash_point_c
Not applicable
Choose from one of the most recent versions:
Already Own This Product?
Find documentation for the products that you have recently purchased in the Document Library.
Our team of scientists has experience in all areas of research including Life Science, Material Science, Chemical Synthesis, Chromatography, Analytical and many others.
Contact Technical Service