Skip to Content
MilliporeSigma

E1014

Millipore

Benzonase® Nuclease

≥250 units/μL, ≥90% (SDS-PAGE), recombinant, expressed in E. coli, buffered aqueous glycerol solution

Synonym(s):

Endonuclease from Serratia marcescens

Sign Into View Organizational & Contract Pricing

Select a Size


About This Item

CAS Number:
EC Number:
MDL number:
UNSPSC Code:
12352204
NACRES:
NA.54
Technical Service
Need help? Our team of experienced scientists is here for you.
Let Us Assist
Technical Service
Need help? Our team of experienced scientists is here for you.
Let Us Assist

biological source

Serratia marcescens

Quality Level

recombinant

expressed in E. coli

assay

≥90% (SDS-PAGE)

form

buffered aqueous glycerol solution

mol wt

30 kDa

concentration

≥250 units/μL

application(s)

research use

foreign activity

protease, essentially free

shipped in

wet ice

storage temp.

−20°C

Looking for similar products? Visit Product Comparison Guide

General description

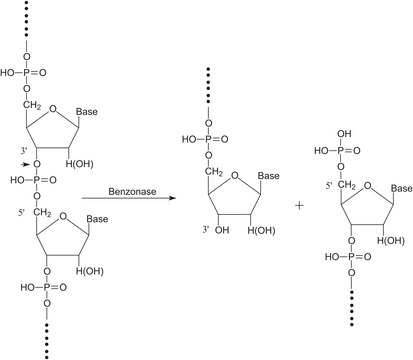
Benzonase® nuclease is a highly efficient and genetically engineered endonuclease that originates from Serratia marcescens. This dimeric protein with two essential disulfide bonds is capable of attacking and degrading all forms of DNA and RNA (single-stranded, double-stranded, linear, and circular) under a wide range of operating conditions. Benzonase® nuclease is capable of removing nucleic acids and enhancing the purity and quality of protein samples.

Application

Benzonase® Nuclease has been used: as a component in ice-cold lysis buffer C to digest DNA and  RNA to facilitate the complete release of all nuclear proteins in the immunoprecipitation step to release protein complexes from the nucleoplasm and chromatinas a supplement in RIPA to fractionate SHSY5Y cells for immunoprecipitation to remove residual nucleic acids from the aortic roots in decellularization method
Used for the removal of nucleic acid from protein samples.

Biochem/physiol Actions

Benzonase® Nuclease can completely digest nucleic acids into 5′-monophosphate terminated oligonucleotides of 3 to 5 bases in length, making it the ideal tool for removing nucleic acids from recombinant proteins and for applications that require complete digestion of nucleic acids. In addition to reducing viscosity in protein extracts and preventing cell clumping, pretreatment of protein samples with Benzonase® nuclease can significantly improve their resolution on 2D gel electrophoresis by eliminating any bound nucleic acids. This versatile enzyme can digest both native or heat-denatured DNA and RNA, with its optimum pH for enzyme activity found to be 8.0-9.2. Benzonase® nuclease is effective at removing host DNA from microbiome samples. In many cases, microbiome samples (such as saliva or skin) will have a high percentage of host DNA that interferes with downstream results. Our experts show that the reduction of host DNA lowers the cost of sequencing while increasing and improving the data. Experimental data is shown in the technical article - Benzonase® Nuclease for Microbiome Workflows
Digests native or heat-denatured DNA and RNA.

Features and Benefits

  • Host DNA depletion in microbiome samples.


  • Effective nucleic acid digestion in a variety of workflows.


  • Viscosity reduction during protein extraction.

Physical form

Solution in 50% glycerol containing 20 mM Tris HCl, pH 8.0, 2 mM MgCl2, and 20 mM NaCl.

Other Notes

One unit will digest sonicated salmon sperm DNA to acid-soluble oligonucleotides equivalent to a ΔA260 of 1.0 in 30 min at pH 8.0 at 37 °C (reaction volume 2.625 ml).

Legal Information

Benzonase® Nuclease is supplied by Merck KGaA, Darmstadt, Germany and/or its affiliates.
Benzonase is a registered trademark of Merck KGaA, Darmstadt, Germany

Storage Class

10 - Combustible liquids

wgk_germany

WGK 1

flash_point_f

Not applicable

flash_point_c

Not applicable

ppe

Eyeshields, Gloves


Choose from one of the most recent versions:

Certificates of Analysis (COA)

Lot/Batch Number

Don't see the Right Version?

If you require a particular version, you can look up a specific certificate by the Lot or Batch number.

Already Own This Product?

Find documentation for the products that you have recently purchased in the Document Library.

Visit the Document Library

Jos J M Drabbels et al.
Blood, 118(19), e149-e155 (2011-09-21)
Microchimerism is defined by the presence of low levels of nonhost cells in a person. We developed a reliable method for separating viable microchimeric cells from the host environment. For flow cytometric cell sorting, HLA antigens were targeted with human
Janus S Jakobsen et al.
Science advances, 5(7), eaaw4304-eaaw4304 (2019-07-17)
The key myeloid transcription factor (TF), CEBPA, is frequently mutated in acute myeloid leukemia (AML), but the direct molecular effects of this leukemic driver mutation remain elusive. To investigate CEBPA mutant AML, we performed microscale, in vivo chromatin immunoprecipitation sequencing
T K Ball et al.
Gene, 57(2-3), 183-192 (1987-01-01)
We are studying exoproteins of the enteric bacterium Serratia marcescens as a model system for the release of extracellular proteins from the cell. In this work we report the cloning of the gene for a secreted nuclease from S. marcescens
T K Ball et al.
Nucleic acids research, 20(19), 4971-4974 (1992-10-11)
The role of the two disulfide bonds found in the Serratia marcescens nuclease were tested by site directed mutagenesis and were found essential for nuclease activity, although slight residual activity remained. The requirement for disulfide bond formation may play a
An extracellular nuclease from Serratia marcescens. II. Specificity of the enzyme.
M Nestle et al.
The Journal of biological chemistry, 244(19), 5219-5225 (1969-10-10)

Articles

The field of proteomics is continually looking for new ways to investigate protein dynamics within complex biological samples. Recently, many researchers have begun to use RNA interference (RNAi) as a method of manipulating protein levels within their samples, but the ability to accurately determine these protein amounts remains a challenge. Fortunately, over the past decade, the field of proteomics has witnessed significant advances in the area of mass spectrometry. These advances, both in instrumentation and methodology, are providing researchers with sensitive assays for both identification and quantification of proteins within complex samples. This discussion will highlight some of these methodologies, namely the use of Multiple Reaction Monitoring (MRM) and Protein-AQUA.

Benzonase® Nuclease for reducing host DNA in microbiome workflows and enhancing taxa identification.

Benzonase®endonuclease efficiently removes nucleic acid contaminants from viral production, crucial for cell and gene therapies and vaccines.

This page lists nine frequently asked questions and answers about Benzonase® Nuclease.

Related Content

The use of Benzonase® endonuclease can significantly reduce the levels of DNA by more than 100,000-fold while also reducing viscosity and protecting downstream equipment from DNA fouling. However, optimization strategies and DoE are critical when it comes to reducing DNA in your process. Setting up a DoE for your Benzonase® endonuclease application can help you find the optimal operation conditions that deliver the required DNA clearance from your process.

Find protein research tools to prepare, isolate, and analyze proteins. Organized by how to extract, protect, purify, enrich, modify, and quantify proteins.

Read an automated protocol for protein purification using PureProteome™ nickel magnetic beads on the AAW™ automated assay workstation and see results comparing manual vs automated runs.

Our team of scientists has experience in all areas of research including Life Science, Material Science, Chemical Synthesis, Chromatography, Analytical and many others.

Contact Technical Service