Skip to Content
MilliporeSigma

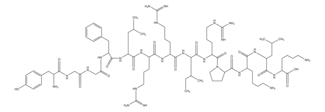
D7017

Dynorphin A Porcine Fragment 1-13

≥97% (HPLC)

Sign In to View Organizational & Contract Pricing.

Select a Size

Change View

About This Item

Empirical Formula (Hill Notation):
C75H126N24O15
CAS Number:
Molecular Weight:
1603.95
NACRES:
NA.32
PubChem Substance ID:
UNSPSC Code:
12352202
MDL number:
Technical Service
Need help? Our team of experienced scientists is here for you.
Let Us Assist


Quality Level

assay

≥97% (HPLC)

form

powder

composition

Peptide content, ≥50%

UniProt accession no.

storage temp.

−20°C

SMILES string

CCC(C)C(NC(=O)C(CCCNC(N)=N)NC(=O)C(CCCNC(N)=N)NC(=O)C(CC(C)C)NC(=O)C(Cc1ccccc1)NC(=O)CNC(=O)CNC(=O)C(N)Cc2ccc(O)cc2)C(=O)NC(CCCNC(N)=N)C(=O)N3CCCC3C(=O)NC(CCCCN)C(=O)NC(CC(C)C)C(=O)NC(CCCCN)C(O)=O

InChI

1S/C75H126N24O15/c1-7-45(6)61(70(111)94-53(25-17-35-87-75(83)84)71(112)99-36-18-26-58(99)69(110)93-50(21-11-13-31-76)64(105)96-56(38-44(4)5)67(108)95-54(72(113)114)22-12-14-32-77)98-65(106)52(24-16-34-86-74(81)82)91-63(104)51(23-15-33-85-73(79)80)92-66(107)55(37-43(2)3)97-68(109)57(40-46-19-9-8-10-20-46)90-60(102)42-88-59(101)41-89-62(103)49(78)39-47-27-29-48(100)30-28-47/h8-10,19-20,27-30,43-45,49-58,61,100H,7,11-18,21-26,31-42,76-78H2,1-6H3,(H,88,101)(H,89,103)(H,90,102)(H,91,104)(H,92,107)(H,93,110)(H,94,111)(H,95,108)(H,96,105)(H,97,109)(H,98,106)(H,113,114)(H4,79,80,85)(H4,81,82,86)(H4,83,84,87)

InChI key

OVVIBUHLQIYUEU-UHFFFAOYSA-N

Gene Information

pig ... PDYN(445529)

Application

Dynorphin A Porcine Fragment 1-13 has been used as a test compound in the field asymmetric waveform ion mobility spectrometry coupled to mass spectrometry (FAIMS/IMS/MS).

Biochem/physiol Actions

Dynorphin (Dyn) (1-13), a bioactive product of dynorphin A displays interaction with N-methyl- D-aspartate (NMDA) as well as with opioid receptors. It elevates intracellular calcium [Ca2+]i level and contributes to the loss of neurons affecting neuronal viability.


Storage Class

11 - Combustible Solids

wgk

WGK 3

flash_point_f

Not applicable

flash_point_c

Not applicable

ppe

Eyeshields, Gloves, type N95 (US)



Choose from one of the most recent versions:

Certificates of Analysis (COA)

Lot/Batch Number

Don't see the Right Version?

If you require a particular version, you can look up a specific certificate by the Lot or Batch number.

Already Own This Product?

Find documentation for the products that you have recently purchased in the Document Library.

Visit the Document Library



Sylvie Tordjman et al.
Behavior genetics, 33(5), 529-536 (2003-10-24)
Previous studies suggest that brain opioid activity decreases aggression in animal models. The main objective of the current study was to examine the possible genetic relationship between intermale aggression and brain levels of enkephalins, endorphins, and dynorphins in 11 inbred
Xin Sun et al.
Life sciences, 78(21), 2516-2522 (2005-12-13)
To investigate the relaxation effect and underlying mechanism of U50,488H (a selective kappa-opioid receptor agonist) in pulmonary artery in the rat. Isolated pulmonary artery ring was perfused and the tension of the vessel was measured. U50,488H relaxed the pulmonary artery
Jing Liang et al.
Neuropharmacology, 58(1), 233-240 (2009-07-15)
Our previous studies have demonstrated that morphine-induced conditioned place preference (CPP) can be inhibited by 2 Hz electroacupuncture (EA). This inhibition can be blocked by either the opioid receptor antagonist naloxone (i.p.) or lesion in the nucleus accumbens (NAc), providing



Global Trade Item Number

SKUGTIN
D7017-1MG04061826152621