Skip to Content
MilliporeSigma

D1262

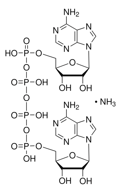
P1,P4-Di(adenosine-5′) tetraphosphate ammonium salt

≥95% (HPLC), pancreatic second messenger, powder

Synonym(s):

A(5′)p4(5′)A, Diadenosine tetraphosphate ammonium salt

Sign In to View Organizational & Contract Pricing.

Select a Size

Change View

About This Item

Empirical Formula (Hill Notation):
C20H28N10O19P4 · xNH3
CAS Number:
Molecular Weight:
836.39 (free acid basis)
UNSPSC Code:
41106305
eCl@ss:
32160414
PubChem Substance ID:
NACRES:
NA.77
MDL number:
Assay:
≥95% (HPLC)
Form:
powder
Quality level:
Technical Service
Need help? Our team of experienced scientists is here for you.
Let Us Assist


Product Name

P1,P4-Di(adenosine-5′) tetraphosphate ammonium salt, ≥95% (HPLC), powder

Quality Level

assay

≥95% (HPLC)

form

powder

color

white to off-white

solubility

H2O: 50 mg/mL

storage temp.

−20°C

SMILES string

N.Nc1ncnc2n(cnc12)[C@@H]3O[C@H](COP(O)(=O)OP(O)(=O)OP(O)(=O)OP(O)(=O)OC[C@H]4O[C@H]([C@H](O)[C@@H]4O)n5cnc6c(N)ncnc56)[C@@H](O)[C@H]3O

InChI

1S/C20H28N10O19P4.H3N/c21-15-9-17(25-3-23-15)29(5-27-9)19-13(33)11(31)7(45-19)1-43-50(35,36)47-52(39,40)49-53(41,42)48-51(37,38)44-2-8-12(32)14(34)20(46-8)30-6-28-10-16(22)24-4-26-18(10)30;/h3-8,11-14,19-20,31-34H,1-2H2,(H,35,36)(H,37,38)(H,39,40)(H,41,42)(H2,21,23,25)(H2,22,24,26);1H3/t7-,8-,11-,12-,13-,14-,19-,20-;/m1./s1

InChI key

JTLRVYSRZSPJKJ-AHKIGRPSSA-N

Application

P1,P4-Di(adenosine-5′) tetraphosphate ammonium salt has been used as a substrate for nudix hydrolyse. It has also been used as a ATP analog and nudix substrate for cleavage factor II Im25 subunit.

Biochem/physiol Actions

Diadenosine polyphosphate (Ap4A) functions as a second messenger in pancreatic cells. Diadenosine polyphosphate is majorly stored in neuronal cells, thrombocytes and chromaffin. It stimulates phospholipase D, fluctuates intracellular calcium levels, induces nitric oxide release, activates 5′-nucleotidase, and inhibits adenosine kinase activity in vitro. The membrane-bound ectoenzymes in endothelial cells in blood plasma and smooth muscle cell metabolize Ap4A.


Storage Class

11 - Combustible Solids

wgk

WGK 3

flash_point_f

Not applicable

flash_point_c

Not applicable

ppe

Eyeshields, Gloves, type N95 (US)



Choose from one of the most recent versions:

Certificates of Analysis (COA)

Lot/Batch Number

Don't see the Right Version?

If you require a particular version, you can look up a specific certificate by the Lot or Batch number.

Already Own This Product?

Find documentation for the products that you have recently purchased in the Document Library.

Visit the Document Library



M Edgecombe et al.
The Biochemical journal, 323 ( Pt 2), 451-456 (1997-04-15)
Diadenosine polyphosphates released into the extracellular environment influence a variety of metabolic and other cellular activities in a wide range of target tissues. Here we have studied the impact of these novel nucleotides on gluconeogenesis in isolated rat proximal tubules.
Diadenosine polyphosphate-mediated activation of phospholipase D in isolated rat liver cells
Edgecombe M, et al.
Cellular Signalling, 10(7), 505-509 (1998)
Diadenosine polyphosphates in insulin-secreting cells: interaction with specific receptors and degradation.
Verspohl EJ and Johannwille B
Diabetes, 47(11), 1727-1734 (1998)



Global Trade Item Number

SKUGTIN
D1262-50MG04061832081878
D1262-10MG04061832081861