Skip to Content
MilliporeSigma

C9819

Sigma-Aldrich

Chondroitin sulfate A sodium salt from bovine trachea

lyophilized powder, BioReagent, suitable for cell culture

Synonym(s):

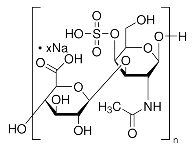
Alternating Copoly β-glucuronic acid-(1→3)-N-acetyl-β-galactosamine-4-sulfate-(1→4)

Sign Into View Organizational & Contract Pricing

Select a Size


About This Item

CAS Number:
MDL number:
UNSPSC Code:
12352202
NACRES:
NA.75
Technical Service
Need help? Our team of experienced scientists is here for you.
Let Us Assist
Technical Service
Need help? Our team of experienced scientists is here for you.
Let Us Assist

biological source

bovine trachea

Quality Level

product line

BioReagent

form

lyophilized powder

packaging

poly bottle of 25 g
poly bottle of 5 g

technique(s)

cell culture | mammalian: suitable

surface coverage

20‑2000 μg/cm2

shipped in

ambient

storage temp.

2-8°C

Looking for similar products? Visit Product Comparison Guide

Application

Chondroitin appears to play a regulatory role for chondrocytes, neural cells, and some tumor cells. Chondroitin sulfate B is used to study ß peptide (1-42) cytotoxicity.

Biochem/physiol Actions

As a large, negatively charged, hydrophilic molecule that is too inflexible to fold into a compact globular structure, chondroitin sulfate molecules form porous hydrated gels, providing mechanical support to tissue and allowing rapid diffusion of water-soluble molecules and migration of cells.

Preparation Note

This product is soluble in water at 100 mg/mL.

Other Notes

Chondroitin Sulfate A is an acidic mucopolysaccharide found in cartilage, skin, cornea, and umbilical cord. It is composed of alternating N-acetylgalactosamine, D-glucuronic acid, and sulfate residues in equimolar quantities where carbon 4 of the N-acetylgalactosamines is sulfated.

Disclaimer

Store this product at 2-8°C.

Storage Class

11 - Combustible Solids

wgk_germany

WGK 3

flash_point_f

Not applicable

flash_point_c

Not applicable

ppe

Eyeshields, Gloves, type N95 (US)


Choose from one of the most recent versions:

Certificates of Analysis (COA)

Lot/Batch Number

Don't see the Right Version?

If you require a particular version, you can look up a specific certificate by the Lot or Batch number.

Already Own This Product?

Find documentation for the products that you have recently purchased in the Document Library.

Visit the Document Library

N Sharma et al.
Osteoarthritis and cartilage, 28(5), 658-668 (2019-11-18)
Links between pain and joint degradation are poorly understood. We investigated the role of activation of Toll-like receptors (TLR) by cartilage metabolites in initiating and maintaining the inflammatory loop in OA causing joint destruction. Synovial membrane explants (SMEs) were prepared
Tomomi Izumikawa et al.
Biochimica et biophysica acta, 1830(10), 4806-4812 (2013-07-03)
Previously, we identified two missense mutations in the chondroitin N-acetylgalactosaminyltransferase-1 gene in patients with neuropathy. These mutations are associated with a profound decrease in chondroitin N-acetylgalactosaminyltransferase-1 enzyme activity. Here, we describe a patient with neuropathy who is heterozygous for a
Gunnar Dick et al.
The Journal of biological chemistry, 288(38), 27384-27395 (2013-08-14)
Chondroitin sulfate (CS) and the CS-rich extracellular matrix structures called perineuronal nets (PNNs) restrict plasticity and regeneration in the CNS. Plasticity is enhanced by chondroitinase ABC treatment that removes CS from its core protein in the chondroitin sulfate proteoglycans or
Philippe Boeuf et al.
PloS one, 6(6), e21126-e21126 (2011-07-07)
In placental malaria, Plasmodium falciparum-infected erythrocytes adhere to the apical plasma membrane of the placental epithelium, triggering an impairment of placental function detrimental to the fetus. The design of anti-adhesion intervention strategies requires a detailed understanding of the mechanisms involved.
Dovile Sinkeviciute et al.
BMC rheumatology, 4, 30-30 (2020-05-20)
Osteoarthritis (OA) is a progressive, chronic disease characterized by articular cartilage destruction. The pro-inflammatory cytokine IL-17 levels have been reported elevated in serum and synovial fluid of OA patients and correlated with increased cartilage defects and bone remodeling. The aim

Articles

Cancer stem cell media, spheroid plates and cancer stem cell markers to culture and characterize CSC populations.

Glycosaminoglycans are large linear polysaccharides constructed of repeating disaccharide units.

Uncover more about glycosaminoglycans and proteoglycans including the structure of glycosaminoglycans (GAGs), the different types of GAGs, and their functions.

Our team of scientists has experience in all areas of research including Life Science, Material Science, Chemical Synthesis, Chromatography, Analytical and many others.

Contact Technical Service