C2538
Carboplatin
DNA cross-linking agent, powder
Synonym(s):
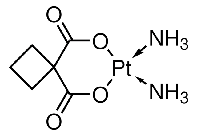
cis-Diammine(1,1-cyclobutanedicarboxylato) platinum
Select a Size
About This Item
Product Name
Carboplatin,
form
powder
Quality Level
antibiotic activity spectrum
neoplastics
originator
Bristol-Myers Squibb
SMILES string
N.N.O=C1O[Pt]OC(=O)C12CCC2
InChI
1S/C6H8O4.2H3N.Pt/c7-4(8)6(5(9)10)2-1-3-6;;;/h1-3H2,(H,7,8)(H,9,10);2*1H3;/q;;;+2/p-2
InChI key
OLESAACUTLOWQZ-UHFFFAOYSA-L
Looking for similar products? Visit Product Comparison Guide
General description
Application
- in chemotherapy-induced thrombocytopenia mouse model and treatment
- to induce cell death in a large subset of colorectal cancer cells
- in the evaluation of cell proliferation and chemosensitivity
- as a positive control for suppressed cell growth
Biochem/physiol Actions
Features and Benefits
signalword
Danger
Hazard Classifications
Acute Tox. 4 Dermal - Acute Tox. 4 Inhalation - Acute Tox. 4 Oral - Muta. 1B - Repr. 1B - Resp. Sens. 1 - Skin Sens. 1
Storage Class
6.1C - Combustible acute toxic Cat.3 / toxic compounds or compounds which causing chronic effects
wgk_germany
WGK 3
flash_point_f
Not applicable
flash_point_c
Not applicable
ppe
Eyeshields, Faceshields, Gloves, type P3 (EN 143) respirator cartridges
Choose from one of the most recent versions:
Already Own This Product?
Find documentation for the products that you have recently purchased in the Document Library.
Articles
DNA damage and repair mechanism is vital for maintaining DNA integrity. Damage to cellular DNA is involved in mutagenesis, the development of cancer among others.
Cell cycle phases (G1, S, G2, M) regulate cell growth, DNA replication, and division in proliferating cells.
Apoptosis regulation involves multiple pathways and molecules for cellular homeostasis.
Related Content
Our team of scientists has experience in all areas of research including Life Science, Material Science, Chemical Synthesis, Chromatography, Analytical and many others.
Contact Technical Service
