Skip to Content
MilliporeSigma

C1511

Sigma-Aldrich

Colistin sodium methanesulfonate

~11,500 U/mg

Synonym(s):

Colimycin sodium methanesulfonate, Methanesulfonic acid derivative of Polymyxin E, Polymyxin E sodium methanesulfonate

Sign Into View Organizational & Contract Pricing

Select a Size


About This Item

Empirical Formula (Hill Notation):
C58H115N16Na5O28S5
CAS Number:
Molecular Weight:
1759.90
EC Number:
MDL number:
UNSPSC Code:
51102829
PubChem Substance ID:
NACRES:
NA.85
Technical Service
Need help? Our team of experienced scientists is here for you.
Let Us Assist
Technical Service
Need help? Our team of experienced scientists is here for you.
Let Us Assist

form

powder

Quality Level

specific activity

~11,500 U/mg

solubility

H2O: 50 mg/mL

antibiotic activity spectrum

Gram-negative bacteria

mode of action

cell membrane | interferes

storage temp.

2-8°C

SMILES string

[Na+].[Na+].[Na+].[Na+].[Na+].CS([O-])(=O)=O.CS([O-])(=O)=O.CS([O-])(=O)=O.CS([O-])(=O)=O.CS([O-])(=O)=O.CCC(C)CCCCC(=O)N[C@@H](CCN)C(=O)N[C@@H](C(C)O)C(=O)N[C@@H](CCN)C(=O)N[C@H]1CCNC(=O)[C@@H](NC(=O)[C@H](CCN)NC(=O)[C@@H](CCN)NC(=O)[C@H](CC(C)C)NC(=O)[C@@H](CC(C)C)NC(=O)[C@H](CCN)NC1=O)C(C)O

InChI

1S/C53H100N16O13.5CH4O3S.5Na/c1-9-30(6)12-10-11-13-41(72)60-33(14-20-54)48(77)69-43(32(8)71)53(82)65-36(17-23-57)45(74)64-38-19-25-59-52(81)42(31(7)70)68-49(78)37(18-24-58)62-44(73)34(15-21-55)63-50(79)39(26-28(2)3)67-51(80)40(27-29(4)5)66-46(75)35(16-22-56)61-47(38)76;5*1-5(2,3)4;;;;;/h28-40,42-43,70-71H,9-27,54-58H2,1-8H3,(H,59,81)(H,60,72)(H,61,76)(H,62,73)(H,63,79)(H,64,74)(H,65,82)(H,66,75)(H,67,80)(H,68,78)(H,69,77);5*1H3,(H,2,3,4);;;;;/q;;;;;;5*+1/p-5/t30?,31-,32-,33+,34-,35+,36+,37+,38+,39+,40-,42+,43+;;;;;;;;;;/m1........../s1

InChI key

WSDSONZFNWDYGZ-BKFDUBCBSA-I

Looking for similar products? Visit Product Comparison Guide

General description

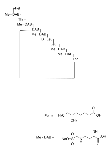
Chemical structure: peptide

Application

Colistin sodium methanesulfate is used to permeabilize bacterial cell membranes and to study mannose-resistant haemagglutination.

Biochem/physiol Actions

Colistin is a cationic, multicomponent lipopeptide antibiotic. It consists of a cyclic heptapeptide with tripeptide side chain, acylated at the N terminus by a fatty acid. It exhibits a potent anti-endotoxin. Colistin interacts with the anionic LPS molecules and displaces calcium and magnesium ions. It solubilzes the cytoplasmic membrane resulting in leakage of cytosol which contributes to the bactericidal effect.
Mode of Action: Binds to lipids on the cell cytoplasmic membrane of Gram-negative bacteria and disrupts the cell wall integrity.
Antimicrobial spectrum: Gram-negative bacteria.

Other Notes

Keep container tightly closed in a dry and well-ventilated place.Keep in a dry place.

Storage Class

11 - Combustible Solids

wgk_germany

WGK 3

flash_point_f

Not applicable

flash_point_c

Not applicable

ppe

Eyeshields, Gloves, type N95 (US)


Choose from one of the most recent versions:

Certificates of Analysis (COA)

Lot/Batch Number

Don't see the Right Version?

If you require a particular version, you can look up a specific certificate by the Lot or Batch number.

Already Own This Product?

Find documentation for the products that you have recently purchased in the Document Library.

Visit the Document Library

Sachin Gupta et al.
Indian journal of critical care medicine : peer-reviewed, official publication of Indian Society of Critical Care Medicine, 13(2), 49-53 (2009-11-03)
One of the greatest achievements of modern medicine is the development of antibiotics against life-threatening infections, but the emergence of multidrug-resistant (MDR) gram negative bacteria has drastically narrowed down the therapeutic options against them. This limitation has led clinicians to
Matthew E Falagas et al.
Expert review of anti-infective therapy, 6(5), 593-600 (2008-10-14)
Despite the constantly increasing need for new antimicrobial agents, antibiotic drug discovery and development seem to have greatly decelerated in recent years. Presented with the significant problem of advancing antimicrobial resistance, the global scientific community has attempted to find alternative
Roberto Imberti et al.
Chest, 138(6), 1333-1339 (2010-06-19)
Infections caused by multidrug-resistant gram-negative bacteria have caused a resurgence of interest in colistin. To date, information about pharmacokinetics of colistin is very limited in critically ill patients, and no attempts have been made to evaluate its concentration in BAL.
Kavi J Littlewood et al.
Journal of cystic fibrosis : official journal of the European Cystic Fibrosis Society, 11(5), 419-426 (2012-06-22)
Various inhaled antibiotics are currently used for treating chronic Pseudomonas aeruginosa lung infection in cystic fibrosis (CF) patients, however their relative efficacies are unclear. We compared the efficacy of the inhaled antibiotics tobramycin (TIP, TIS-T, TIS-B), colistimethate sodium (colistin) and
Roberto Imberti et al.
Antimicrobial agents and chemotherapy, 56(8), 4416-4421 (2012-06-13)
Intraventricular colistin, administered as colistin methanesulfonate (CMS), is the last resource for the treatment of central nervous system infections caused by panresistant Gram-negative bacteria. The doses and daily regimens vary considerably and are empirically chosen; the cerebrospinal fluid (CSF) pharmacokinetics

Our team of scientists has experience in all areas of research including Life Science, Material Science, Chemical Synthesis, Chromatography, Analytical and many others.

Contact Technical Service