Skip to Content
MilliporeSigma

C1138

Sigma-Aldrich

ι-Carrageenan

Predominantly iota carrageenan

Synonym(s):

Vegetable gelatin

Sign Into View Organizational & Contract Pricing

Select a Size


About This Item

CAS Number:
EC Number:
MDL number:
UNSPSC Code:
12352201
NACRES:
NA.25
Technical Service
Need help? Our team of experienced scientists is here for you.
Let Us Assist
Technical Service
Need help? Our team of experienced scientists is here for you.
Let Us Assist

biological source

algae (Eucheuma spinosum)

Quality Level

form

powder

color

beige

useful pH range

8.0 - 10.5

solubility

water: soluble ~5 g/L

storage temp.

room temp

SMILES string

[S](=O)(=O)([O-])O[C@H]1[C@H](O[C@H]([C@@H]([C@H]1O[C@H]4O[C@H]5[C@@H]([C@H](OC5)[C@H]4O[S](=O)(=O)[O-])O[C@@H]6O[C@@H]([C@@H]([C@@H]([C@H]6O)O)O[S](=O)(=O)[O-])CO)O)O[C@@H]2[C@@H]3OC[C@H]2O[C@@H]([C@@H]3O[S](=O)(=O)[O-])O)CO

InChI

1S/C24H38O31S4/c25-1-5-12(52-56(31,32)33)9(27)10(28)22(46-5)49-14-8-4-44-18(14)20(55-59(40,41)42)24(48-8)51-16-11(29)23(47-6(2-26)15(16)53-57(34,35)36)50-13-7-3-43-17(13)19(21(30)45-7)54-58(37,38)39/h5-30H,1-4H2,(H,31,32,33)(H,34,35,36)(H,37,38,39)(H,40,41,42)/p-4/t5-,6-,7-,8-,9-,10-,11-,12+,13+,14+,15+,16-,17+,18+,19-,20-,21+,22+,23+,24-/m1/s1

InChI key

QIDSWKFAPCTSKL-RRQHLKGPSA-J

Looking for similar products? Visit Product Comparison Guide

General description

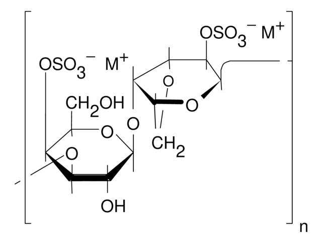
Carrageenans are mucopolysaccharides from the cell walls of the red algae. They are anionic linear polymers composed of 1,3α-1,4β-galactans having one (κ-), two (ι-) or three (λ-) sulfates per disaccharide unit. In ionic solutions, κ- and ι-carrageenans self-associate into helical structures that form rigid or flexible gels, respectively. λ-carrageenans do not form helices and are non-gelling. Carrageenans are used commercially as thickeners and stabilizing agents.

Application

Carrageenans are used to suppress immune response in vivo and in vitro via mechanisms believed to involve selective cytopathic effect on macrophages. As ι-, κ-,and λ-carrageenans have varying degress of sulfation, they may be studied comparatively for differences in protective, antiviral, and immunosuppression activities.
Carrageenans are used to suppress immune response in vivo and in vitro via mechanisms believed to involve selective cytopathic effect on macrophages. As ι-, κ-, and λ-carrageenans have varying degrees of sulfation, they may be studied comparatively for differences in protective, antiviral, and immunosuppression activities. ι-Carrageenan may be used to help define the role of carrageenan sulfation levels in physicochemical, biochemical, biological and pharmacological responses.

Preparation Note

Blended from various seaweeds to produce flexible gels.

Other Notes

To gain a comprehensive understanding of our extensive range of Polysaccharides for your research, we encourage you to visit our Carbohydrates Category page.

Storage Class

11 - Combustible Solids

wgk_germany

WGK 2

flash_point_f

Not applicable

flash_point_c

Not applicable

ppe

Eyeshields, Faceshields, Gloves, type N95 (US)


Choose from one of the most recent versions:

Certificates of Analysis (COA)

Lot/Batch Number

Don't see the Right Version?

If you require a particular version, you can look up a specific certificate by the Lot or Batch number.

Already Own This Product?

Find documentation for the products that you have recently purchased in the Document Library.

Visit the Document Library

Jalles A Batista et al.
Carbohydrate polymers, 99, 59-67 (2013-11-28)
The sulfated polysaccharide (PLS) fraction of Agardhiella ramosissima was characterized by microanalysis, infrared spectroscopy, NMR and gas-liquid-chromatography-mass-spectrometry. The main constituent of PLS was the ι carrageenan. The monosaccharide composition of the PLS showed galactose, 3,6-anhydrogalactose and 6-O-methylgalactose. The PLS (30
Ritsu Nishimura et al.
Journal of medical and dental sciences, 60(1), 1-8 (2013-08-07)
Various gelatinizers, which facilitate oral ingestion, are employed in patients with dysphagia. The purpose of this study was to histologically clarify the influence of various gelatinizers on the lung, using rats. We administered 0.2 ml/kg of 0.1% xanthangam, a 0.25%
Kihyuck Kwak et al.
PloS one, 9(5), e97232-e97232 (2014-05-13)
The licensed human papillomavirus (HPV) vaccines elicit type-restricted immunity but do not target cutaneous HPV types of the beta genus that are associated with non-melanoma skin cancer in immune-compromised patients, and it is unclear if these diverse types share a
Andrew G Hettle et al.
Structure (London, England : 1993), 26(5), 747-758 (2018-04-24)
Sulfatases play a biologically important role by cleaving sulfate groups from molecules. They can be identified on the basis of signature sequences within their primary structures, and the largest family, S1, has predictable features that contribute specifically to the recognition
Andreas Sichert et al.
Nature microbiology, 5(8), 1026-1039 (2020-05-27)
Brown algae are important players in the global carbon cycle by fixing carbon dioxide into 1 Gt of biomass annually, yet the fate of fucoidan-their major cell wall polysaccharide-remains poorly understood. Microbial degradation of fucoidans is slower than that of other

Our team of scientists has experience in all areas of research including Life Science, Material Science, Chemical Synthesis, Chromatography, Analytical and many others.

Contact Technical Service