C0768
Cyclophosphamide monohydrate
97.0-103.0% (HPLC), Alkylating agent, powder
Synonym(s):
2-[Bis(2-chloroethyl)amino]tetrahydro-2H-1,3,2-oxazaphosphorine 2-oxide, Cytoxan
Select a Size
About This Item
Product Name
Cyclophosphamide monohydrate, bulk package
Quality Level
assay
97.0-103.0% (HPLC)
form
powder
mp
49-51 °C (lit.)
storage temp.
2-8°C
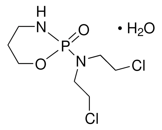
SMILES string
[H]O[H].ClCCN(CCCl)P1(=O)NCCCO1
InChI
1S/C7H15Cl2N2O2P.H2O/c8-2-5-11(6-3-9)14(12)10-4-1-7-13-14;/h1-7H2,(H,10,12);1H2
InChI key
PWOQRKCAHTVFLB-UHFFFAOYSA-N
Gene Information
human ... ALDH1A1(216), ALDH1B1(219)
Looking for similar products? Visit Product Comparison Guide
General description
Application
- to test its antitumor effect on TC-1 tumor cells
- as a component of multidrug solution for isolation of resistant human burkitt lymphoma cell line
- in testing antitumor immunity in mouse tumor cell lines
Biochem/physiol Actions
Features and Benefits
signalword
Danger
hcodes
Hazard Classifications
Acute Tox. 3 Oral - Carc. 1B - Muta. 1B - Repr. 1A
Storage Class
6.1C - Combustible acute toxic Cat.3 / toxic compounds or compounds which causing chronic effects
wgk_germany
WGK 3
ppe
Eyeshields, Faceshields, Gloves, type P3 (EN 143) respirator cartridges
Choose from one of the most recent versions:
Already Own This Product?
Find documentation for the products that you have recently purchased in the Document Library.
Articles
Cancer research has revealed that the classical model of carcinogenesis, a three step process consisting of initiation, promotion, and progression, is not complete.
Apoptosis regulation involves multiple pathways and molecules for cellular homeostasis.
Cell cycle phases (G1, S, G2, M) regulate cell growth, DNA replication, and division in proliferating cells.
Related Content
Chromatograms
Our team of scientists has experience in all areas of research including Life Science, Material Science, Chemical Synthesis, Chromatography, Analytical and many others.
Contact Technical Service
