Skip to Content
MilliporeSigma

B4636

Sigma-Aldrich

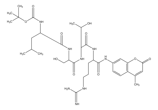
Boc-Leu-Ser-Thr-Arg-7-amido-4-methylcoumarin

protein C substrate, ≥98% (HPLC), powder

Sign Into View Organizational & Contract Pricing

Select a Size


About This Item

Empirical Formula (Hill Notation):
C34H52N8O10
CAS Number:
Molecular Weight:
732.82
MDL number:
UNSPSC Code:
12352204
PubChem Substance ID:
NACRES:
NA.32
Technical Service
Need help? Our team of experienced scientists is here for you.
Let Us Assist
Technical Service
Need help? Our team of experienced scientists is here for you.
Let Us Assist

Product Name

Boc-Leu-Ser-Thr-Arg-7-amido-4-methylcoumarin, protein C substrate

Quality Level

assay

≥98% (HPLC)

form

powder

solubility

ethanol: 2 mg/mL, clear, colorless

storage temp.

−20°C

SMILES string

CC(C)CC(NC(=O)OC(C)(C)C)C(=O)NC(CO)C(=O)NC(C(C)O)C(=O)NC(CCCNC(N)=N)C(=O)Nc1ccc2C(C)=CC(=O)Oc2c1

InChI

1S/C34H52N8O10/c1-17(2)13-23(41-33(50)52-34(5,6)7)29(47)40-24(16-43)30(48)42-27(19(4)44)31(49)39-22(9-8-12-37-32(35)36)28(46)38-20-10-11-21-18(3)14-26(45)51-25(21)15-20/h10-11,14-15,17,19,22-24,27,43-44H,8-9,12-13,16H2,1-7H3,(H,38,46)(H,39,49)(H,40,47)(H,41,50)(H,42,48)(H4,35,36,37)

InChI key

ZJNWKMRGENOMCV-UHFFFAOYSA-N

General description

A fluorogenic substrate for activated protein C.

Storage Class

11 - Combustible Solids

wgk_germany

WGK 3

flash_point_f

Not applicable

flash_point_c

Not applicable

ppe

Eyeshields, Gloves, type N95 (US)


Choose from one of the most recent versions:

Certificates of Analysis (COA)

Lot/Batch Number

Don't see the Right Version?

If you require a particular version, you can look up a specific certificate by the Lot or Batch number.

Already Own This Product?

Find documentation for the products that you have recently purchased in the Document Library.

Visit the Document Library

H Sawada et al.
The Journal of experimental zoology, 254(1), 83-87 (1990-04-01)
Enzymatic properties of a protease involved in hatching of mouse embryos were examined. A trypsin-like protease, which most efficiently hydrolyzed t-butoxycarbonyl-Leu-Ser-Thr-Arg-4-methylcoumaryl-7-amide, was demonstrated in culture medium of mouse hatching embryos. The enzyme was strongly inhibited by diisopropyl fluorophosphate, phenylmethanesulfonyl fluoride
Brian T O'Neill et al.
The Journal of clinical investigation, 126(9), 3433-3446 (2016-08-16)
Diabetes strongly impacts protein metabolism, particularly in skeletal muscle. Insulin and IGF-1 enhance muscle protein synthesis through their receptors, but the relative roles of each in muscle proteostasis have not been fully elucidated. Using mice with muscle-specific deletion of the
Y Ohno et al.
Journal of biochemistry, 90(5), 1387-1395 (1981-11-01)
Protein C is a precursor of plasma serine proteinases, and its active form inactivates specifically blood coagulation Factor V and Factor VIII. Since a specific and sensitive synthetic substrate for the activated protein C was not known, we studied its
Ming Li et al.
Ecotoxicology and environmental safety, 135, 24-31 (2016-09-28)
Avermectins (AVMs) are used worldwide in agriculture and veterinary medicine. Residues of avermectin drugs, causing toxicological effects on non-target organisms, have raised great concern. The aim of this study was to investigate the effects of AVM on the expression levels
Mikhail Ryzhikov et al.
Cell reports, 26(7), 1880-1892 (2019-02-14)
Circadian rhythms are a hallmark of physiology, but how such daily rhythms organize cellular catabolism is poorly understood. Here, we used proteomics to map daily oscillations in autophagic flux in mouse liver and related these rhythms to proteasome activity. We

Our team of scientists has experience in all areas of research including Life Science, Material Science, Chemical Synthesis, Chromatography, Analytical and many others.

Contact Technical Service