B2434
Bleomycin sulfate from Streptomyces verticillus
BioXtra, crystalline
Synonym(s):
Blenoxane, Bleo, Blexane
Select a Size
About This Item
product line
BioXtra
Quality Level
form
crystalline
potency
1.5-2.0 units per mg
technique(s)
cell culture | mammalian: suitable
solubility
H2O: 20 mg/mL, clear, colorless
cation traces
Cu: ≤0.10%
antibiotic activity spectrum
Gram-negative bacteria
Gram-positive bacteria
neoplastics
mode of action
DNA synthesis | interferes
storage temp.
2-8°C
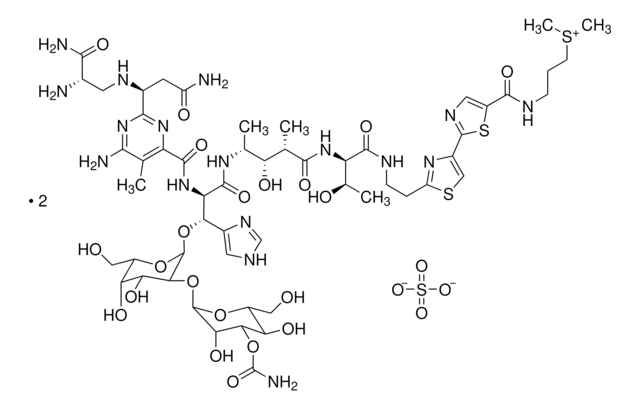
SMILES string
[O-]S([O-])(=O)=O.C[C@@H](O)[C@@H](NC(=O)[C@@H](C)[C@H](O)[C@@H](C)NC(=O)[C@H](NC(=O)c1nc(nc(N)c1C)[C@H](CC(N)=O)NC[C@H](N)C(N)=O)[C@@H](O[C@@H]2O[C@@H](CO)[C@@H](O)[C@H](O)[C@@H]2O[C@@H]3O[C@H](CO)[C@@H](O)[C@@H](OC(N)=O)[C@@H]3O)c4c[nH]cn4)C(=O)NCCc5nc(cs5)-c6ncc(s6)C(=O)NCCC[S+](C)C.C[C@@H](O)[C@@H](NC(=O)[C@@H](C)[C@H](O)[C@@H](C)NC(=O)[C@H](NC(=O)c7nc(nc(N)c7C)[C@H](CC(N)=O)NC[C@H](N)C(N)=O)[C@@H](O[C@@H]8O[C@@H](CO)[C@@H](O)[C@H](O)[C@@H]8O[C@@H]9O[C@H](CO)[C@@H](O)[C@@H](OC(N)=O)[C@@H]9O)c%10c[nH]cn%10)C(=O)NCCc%11nc(cs%11)-c%12ncc(s%12)C(=O)NCCC[S+](C)C
InChI
1S/2C55H83N17O21S3.H2O4S/c2*1-20-33(69-46(72-44(20)58)25(12-31(57)76)64-13-24(56)45(59)82)50(86)71-35(41(26-14-61-19-66-26)91-54-43(39(80)37(78)28(16-73)90-54)92-53-40(81)42(93-55(60)88)38(79)29(17-74)89-53)51(87)67-22(3)36(77)21(2)47(83)70-34(23(4)75)49(85)63-10-8-32-68-27(18-94-32)52-65-15-30(95-52)48(84)62-9-7-11-96(5)6;1-5(2,3)4/h2*14-15,18-19,21-25,28-29,34-43,53-54,64,73-75,77-81H,7-13,16-17,56H2,1-6H3,(H13-,57,58,59,60,61,62,63,66,67,69,70,71,72,76,82,83,84,85,86,87,88);(H2,1,2,3,4)/t2*21-,22+,23+,24-,25-,28-,29+,34+,35+,36-,37+,38+,39-,40-,41-,42+,43-,53-,54-;/m00./s1
InChI key
OOXTWFJZZAJGKA-CNLAFNBISA-N
Looking for similar products? Visit Product Comparison Guide
General description
Application
Biochem/physiol Actions
Preparation Note
Other Notes
Disclaimer
signalword
Danger
hcodes
Hazard Classifications
Carc. 2 - Muta. 1B - Repr. 2
Storage Class
6.1C - Combustible acute toxic Cat.3 / toxic compounds or compounds which causing chronic effects
wgk_germany
WGK 3
flash_point_f
Not applicable
flash_point_c
Not applicable
ppe
Eyeshields, Gloves, type P3 (EN 143) respirator cartridges
Choose from one of the most recent versions:
Already Own This Product?
Find documentation for the products that you have recently purchased in the Document Library.
Articles
DNA damage and repair mechanism is vital for maintaining DNA integrity. Damage to cellular DNA is involved in mutagenesis, the development of cancer among others.
Our team of scientists has experience in all areas of research including Life Science, Material Science, Chemical Synthesis, Chromatography, Analytical and many others.
Contact Technical Service