A9730
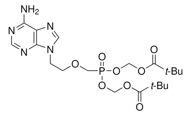
Adefovir dipivoxil
Synonym(s):
9-(2[bis(Pivaloyloxymethoxy)phosphorylmethoxy]ethyl)adenine
Select a Size
About This Item
biological source
synthetic
Quality Level
assay
≥98% (HPLC)
form
powder
solubility
ethanol: 50 mg/mL
antibiotic activity spectrum
viruses
mode of action
enzyme | inhibits
storage temp.
−20°C
SMILES string
CC(C)(C)C(=O)OCOP(=O)(COCCn1cnc2c(N)ncnc12)OCOC(=O)C(C)(C)C
InChI
1S/C20H32N5O8P/c1-19(2,3)17(26)30-11-32-34(28,33-12-31-18(27)20(4,5)6)13-29-8-7-25-10-24-14-15(21)22-9-23-16(14)25/h9-10H,7-8,11-13H2,1-6H3,(H2,21,22,23)
InChI key
WOZSCQDILHKSGG-UHFFFAOYSA-N
Related Categories
Biochem/physiol Actions
Other Notes
signalword
Warning
hcodes
Hazard Classifications
Acute Tox. 4 Oral
Storage Class
11 - Combustible Solids
wgk_germany
WGK 3
flash_point_f
Not applicable
flash_point_c
Not applicable
ppe
dust mask type N95 (US), Eyeshields, Gloves
Choose from one of the most recent versions:
Already Own This Product?
Find documentation for the products that you have recently purchased in the Document Library.
Our team of scientists has experience in all areas of research including Life Science, Material Science, Chemical Synthesis, Chromatography, Analytical and many others.
Contact Technical Service