A6733
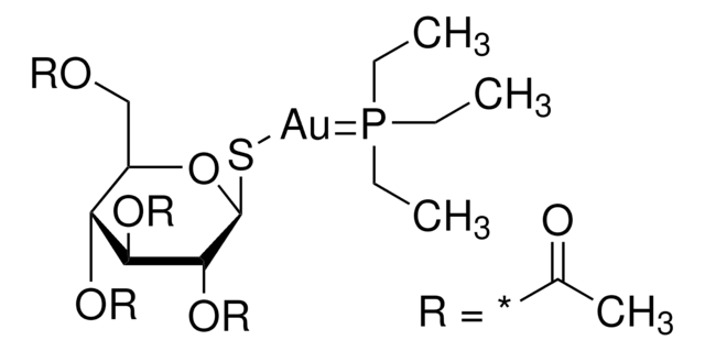
Auranofin
≥98% (HPLC), powder, leukocyte activation pathway inhibitor
Synonym(s):
1-Thio-β-D-glucopyranosatotriethylphosphine gold-2,3,4,6-tetraacetate, 3,4,5-Triacetyloxy-6-(acetyloxymethyl) oxane-2-thiolate triethylphosphanium, SKF 39162
Select a Size
About This Item
Product Name
Auranofin, ≥98% (HPLC)
Quality Level
assay
≥98% (HPLC)
form
powder
solubility
DMSO: ≥5 mg/mL
originator
Prometheus
storage temp.
room temp
SMILES string
CCP(CC)(CC)=[Au]S[C@@H]1O[C@H](COC(C)=O)[C@@H](OC(C)=O)[C@H](OC(C)=O)[C@H]1OC(C)=O
InChI
1S/C14H20O9S.C6H15P.Au/c1-6(15)19-5-10-11(20-7(2)16)12(21-8(3)17)13(14(24)23-10)22-9(4)18;1-4-7(5-2)6-3;/h10-14,24H,5H2,1-4H3;4-6H2,1-3H3;/q;;+1/p-1/t10-,11-,12+,13-,14+;;/m1../s1
InChI key
AUJRCFUBUPVWSZ-XTZHGVARSA-M
Application
Biochem/physiol Actions
Features and Benefits
signalword
Danger
hcodes
Hazard Classifications
Acute Tox. 3 Oral - Repr. 2
Storage Class
6.1C - Combustible acute toxic Cat.3 / toxic compounds or compounds which causing chronic effects
wgk_germany
WGK 3
flash_point_f
Not applicable
flash_point_c
Not applicable
ppe
dust mask type N95 (US), Eyeshields, Faceshields, Gloves
Choose from one of the most recent versions:
Already Own This Product?
Find documentation for the products that you have recently purchased in the Document Library.
Our team of scientists has experience in all areas of research including Life Science, Material Science, Chemical Synthesis, Chromatography, Analytical and many others.
Contact Technical Service
