Skip to Content
MilliporeSigma

A5080

Sigma-Aldrich

Amyloid β-Protein Fragment 22-35

≥95% (HPLC)

Sign Into View Organizational & Contract Pricing

Select a Size


About This Item

Empirical Formula (Hill Notation):
C59H102N16O21S
CAS Number:
Molecular Weight:
1403.60
MDL number:
UNSPSC Code:
12352202
PubChem Substance ID:
NACRES:
NA.32
Technical Service
Need help? Our team of experienced scientists is here for you.
Let Us Assist
Technical Service
Need help? Our team of experienced scientists is here for you.
Let Us Assist

Quality Level

assay

≥95% (HPLC)

form

powder

UniProt accession no.

storage temp.

−20°C

SMILES string

CCC(C)C(NC(=O)C(NC(=O)C(C)NC(=O)CNC(=O)C(CCCCN)NC(=O)C(CC(N)=O)NC(=O)C(CO)NC(=O)CNC(=O)C(NC(=O)C(CC(O)=O)NC(=O)C(N)CCC(O)=O)C(C)C)C(C)CC)C(=O)NCC(=O)NC(CC(C)C)C(=O)NC(CCSC)C(O)=O

InChI

1S/C59H102N16O21S/c1-11-30(7)47(57(93)65-25-42(79)67-36(21-28(3)4)52(88)70-35(59(95)96)18-20-97-10)75-58(94)48(31(8)12-2)74-49(85)32(9)66-41(78)24-63-51(87)34(15-13-14-19-60)69-53(89)37(22-40(62)77)72-55(91)39(27-76)68-43(80)26-64-56(92)46(29(5)6)73-54(90)38(23-45(83)84)71-50(86)33(61)16-17-44(81)82/h28-39,46-48,76H,11-27,60-61H2,1-10H3,(H2,62,77)(H,63,87)(H,64,92)(H,65,93)(H,66,78)(H,67,79)(H,68,80)(H,69,89)(H,70,88)(H,71,86)(H,72,91)(H,73,90)(H,74,85)(H,75,94)(H,81,82)(H,83,84)(H,95,96)

InChI key

KUDAPIFTNDCCFG-UHFFFAOYSA-N

Gene Information

human ... APP(351)

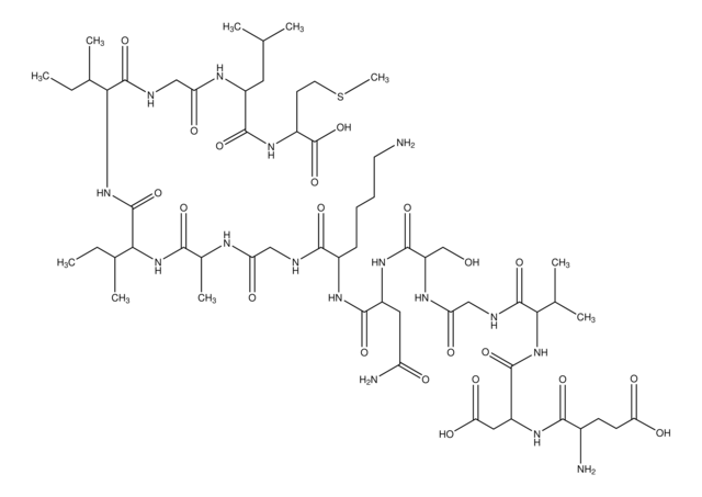
Amino Acid Sequence

Glu-Asp-Val-Gly-Ser-Asn-Lys-Gly-Ala-Ile-Ile-Gly-Leu-Met

Biochem/physiol Actions

Has cytotoxic effect on cultured neurons from rat hippocampus in serum free medium. Also forms aggregates and fibrils similar to those of β-amyloid protein in senile plaque cores.

Storage Class

11 - Combustible Solids

wgk_germany

WGK 3

flash_point_f

Not applicable

flash_point_c

Not applicable

ppe

Eyeshields, Gloves, type N95 (US)


Choose from one of the most recent versions:

Certificates of Analysis (COA)

Lot/Batch Number

Don't see the Right Version?

If you require a particular version, you can look up a specific certificate by the Lot or Batch number.

Already Own This Product?

Find documentation for the products that you have recently purchased in the Document Library.

Visit the Document Library

T Takadera et al.
Neuroscience letters, 161(1), 41-44 (1993-10-14)
A synthetic truncated beta-amyloid peptide, beta 22-35, was shown to have a cytotoxic effect on cultured neurons from the rat hippocampus in serum-free medium. The peptide formed aggregates and typical amyloid fibrils resembling those of the beta-amyloid protein (AP) in

Our team of scientists has experience in all areas of research including Life Science, Material Science, Chemical Synthesis, Chromatography, Analytical and many others.

Contact Technical Service