Skip to Content
MilliporeSigma

A2942

Sigma-Aldrich

Amphotericin B

solution, suitable for cell culture, BioReagent

Synonym(s):

Amphotericin, Fungizone

Sign Into View Organizational & Contract Pricing

Select a Size


About This Item

Empirical Formula (Hill Notation):
C47H73NO17
CAS Number:
Molecular Weight:
924.08
MDL number:
UNSPSC Code:
12352207
PubChem Substance ID:
NACRES:
NA.76
Technical Service
Need help? Our team of experienced scientists is here for you.
Let Us Assist
Technical Service
Need help? Our team of experienced scientists is here for you.
Let Us Assist

Product Name

Amphotericin B solution, 250 μg/mL in deionized water, 0.1 μm filtered, BioReagent, suitable for cell culture

Quality Level

sterility

0.1 μm filtered

product line

BioReagent

form

liquid

concentration

250 μg/mL in deionized water

technique(s)

cell culture | mammalian: suitable

color

yellow

antibiotic activity spectrum

fungi
yeast

mode of action

cell membrane | interferes

shipped in

dry ice

storage temp.

−20°C

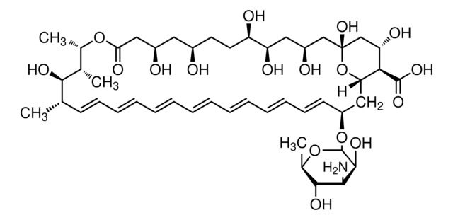
SMILES string

[H][C@]12C[C@@H](O[C@@H]3O[C@H](C)[C@@H](O)[C@H](N)[C@@H]3O)\C=C\C=C\C=C\C=C\C=C\C=C\C=C\[C@H](C)[C@@H](O)[C@@H](C)[C@H](C)OC(=O)C[C@H](O)C[C@H](O)CC[C@@H](O)[C@H](O)C[C@H](O)C[C@](O)(C[C@H](O)[C@H]1C(=O)O[Na])O2

InChI

1S/C47H73NO17/c1-27-17-15-13-11-9-7-5-6-8-10-12-14-16-18-34(64-46-44(58)41(48)43(57)30(4)63-46)24-38-40(45(59)60)37(54)26-47(61,65-38)25-33(51)22-36(53)35(52)20-19-31(49)21-32(50)23-39(55)62-29(3)28(2)42(27)56/h5-18,27-38,40-44,46,49-54,56-58,61H,19-26,48H2,1-4H3,(H,59,60)/b6-5+,9-7+,10-8+,13-11+,14-12+,17-15+,18-16+/t27-,28-,29-,30+,31+,32+,33-,34-,35+,36+,37-,38-,40+,41-,42+,43+,44-,46-,47+/m0/s1

InChI key

APKFDSVGJQXUKY-INPOYWNPSA-N

Looking for similar products? Visit Product Comparison Guide

Related Categories

General description

Amphotericin B is a macrocyclic lactone with a hydrophilic polyhydroxyl chain and a lipophilic polyene based hydrocarbon chain.

Application

Amphotericin B solution has been used:
  • as an intraperitoneal injection for the treatment of Aspergillus fumigatus infection in mice
  • as a constituent of aspiration medium for the culture of Chinese Merino ewe ovaries
  • as a constituent of transport medium during the collection of equine corpora lutea
  • as a supplement in RPMI medium for the culture of the mouse-mouse B cell hybridoma 55-6 cell line

Biochem/physiol Actions

Amphotericin B is a polyene antifungal antibiotic from Streptomyces sp. that is clinically used to treat systemic fungal infections. It has a high affinity for sterols, especially ergosterols, of both fungal and bacterial cell membranes. Normal usage in maintenance of antifungal cell cultures is 2.5 mg/L with penicillin and streptomycin used in the medium.
Amphotericin B is most effective against fungi and yeast. It forms transmembrane channels by binding to sterols associated with membranes, thereby leading to the leakage of small molecules. Amphotericin B elicits toxicity despite being an effective antibiotic for treating mycoses.

Packaging

20,50,100ml

Preparation Note

It is not unusual for this material to form a precipitate in aqueous solutions. Mixing the solution will redissolve most of the precipitate but, if it does not fully resolubilize, the Amphotericin B will still be suitable for use.

Other Notes

Keep container tightly closed in a dry and well-ventilated place. Light sensitive.
This product is supplied as 250 μg/mL Amphotericin B in deionized water. It is a solution containing Amphotericin B, and the following components aimed to improve its solubility: sodium deoxycholate, sodium chloride and sodium phosphate.

Disclaimer

Amphotericin B remains active for 3 days in culture at 37°C.

Storage Class

12 - Non Combustible Liquids

wgk_germany

WGK 1

flash_point_f

Not applicable

flash_point_c

Not applicable

ppe

Eyeshields, Gloves, multi-purpose combination respirator cartridge (US)


Choose from one of the most recent versions:

Certificates of Analysis (COA)

Lot/Batch Number

Don't see the Right Version?

If you require a particular version, you can look up a specific certificate by the Lot or Batch number.

Already Own This Product?

Find documentation for the products that you have recently purchased in the Document Library.

Visit the Document Library

Yong-Hong Wang et al.
The Journal of antibiotics, 63(9), 553-557 (2010-07-08)
A new derivative of amphotericin B named amphotericin B(5) has been obtained under the following condition: amphotericin B powder was first dissolved in N,N-dimethylformamide at room temperature to obtain a solution of concentration of 2.0 mg ml(-1). Then, the solution
María Lourdes Acosta et al.
Cytotechnology, 54(3), 189-200 (2008-11-13)
Batch cultures were carried out to study the kinetic, stoichiometry, and regulation of glucose and glutamine metabolism of a murine hybridoma line. Asymmetric logistic equations (ALEs) were used to fit total and viable cell density, and nutrient and metabolite/product concentrations.
J Bolard et al.
Biochemistry, 30(23), 5707-5715 (1991-06-11)
The inducement of K+ permeability through membranes by the polyene antibiotic amphotericin B (AmB) has been analyzed as a measure of the antibiotic activity. Dose-response curves have been obtained with cholesterol- and ergosterol-containing egg yolk phosphatidylcholine large unilamellar vesicles (LUVs)
Luigina Romani et al.
Blood, 103(11), 4232-4239 (2004-02-26)
Dendritic cells (DCs) show a remarkable functional plasticity in the recognition of Aspergillus fumigatus and orchestrate the antifungal immune resistance in the lungs. Here, we show that thymosin alpha 1, a naturally occurring thymic peptide, induces functional maturation and interleukin-12
Naira Caroline Godoy Pieri et al.
Stem cell research & therapy, 10(1), 135-135 (2019-05-22)
Xenotransplantation of spermatogonial stem cells (SSCs) has become a popular topic in various research fields because manipulating these cells can provide insights into the mechanisms associated with germ cell lines and the entire spermatogenesis process; moreover, these cells can be

Articles

Human renal proximal tubule epithelial cells (RPTECs) are commonly used to predict human renal drug permeability and to investigate drug efflux. We have generated transporter knockout (KO) cell lines using CompoZr® Zinc Finger Nuclease (ZFN) technology in a proprietary renal proximal tubule epithelial cell line.

Antibiotic kill curve is a dose response experiment in which mammalian cells are subjected to increasing amounts of selection antibiotic

Prevent fungal, yeast, and mold contamination in cell cultures. Discover the best antifungal agent for your cultures with the extensive Sigma® antifungal collection.

Related Content

Learn how to use our cell culture tested, ready-to-use MilliShot™ single dose antibiotic solutions, conveniently packaged in one-time use vials.

Products and support for mpox research, offering world-class reagents for immunoassay and molecular assay development.

See All

Our team of scientists has experience in all areas of research including Life Science, Material Science, Chemical Synthesis, Chromatography, Analytical and many others.

Contact Technical Service