Skip to Content
MilliporeSigma

A1289

Sigma-Aldrich

Apamin

from bee venom, ≥95% (HPLC)

Sign Into View Organizational & Contract Pricing

Select a Size


About This Item

Empirical Formula (Hill Notation):
C79H131N31O24S4
CAS Number:
Molecular Weight:
2027.34
EC Number:
MDL number:
UNSPSC Code:
12352200
PubChem Substance ID:
NACRES:
NA.32
Technical Service
Need help? Our team of experienced scientists is here for you.
Let Us Assist
Technical Service
Need help? Our team of experienced scientists is here for you.
Let Us Assist

biological source

bee venom

Quality Level

assay

≥95% (HPLC)

form

powder

mol wt

2027.34 g/mol

technique(s)

inhibition assay: suitable

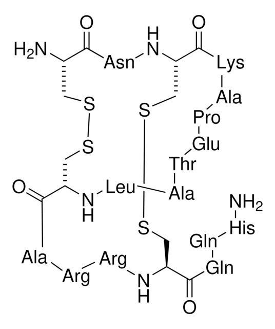
sequence note

Cys-Asn-Cys-Lys-Ala-Pro-Glu-Thr-Ala-Leu-Cys-Ala-Arg-Arg-Cys-Gln-Gln-His-NH2 [Disulfide Bridges: 1-11, 3-15]

UniProt accession no.

storage temp.

−20°C

SMILES string

CC(C)C[C@@H]1NC(=O)[C@H](C)NC(=O)[C@@H](NC(=O)[C@H](CCC(O)=O)NC(=O)[C@@H]2CCC[N@H]2C(=O)[C@H](C)NC(=O)[C@H](CCCCN)NC(=O)[C@@H]3CSSC[C@H](NC(=O)[C@H](CCCNC(N)=N)NC(=O)[C@H](CCCNC(N)=N)NC(=O)[C@H](C)NC(=O)[C@H](CSSC[C@H](N)C(=O)N[C@@H](CC(N)=O)C(=O)N3)NC1=O)C(=O)N[C@@H](CCC(N)=O)C(=O)N[C@@H](CCC(N)=O)C(=O)N[C@@H](Cc4cnc[nH]4)C(N)=O)[C@@H](C)O

InChI

1S/C79H131N31O24S4/c1-35(2)26-49-70(127)107-51-31-136-135-30-41(81)63(120)105-50(28-57(84)114)71(128)108-53(73(130)99-42(12-7-8-22-80)64(121)96-38(5)77(134)110-25-11-15-54(110)75(132)102-47(18-21-58(115)116)69(126)109-59(39(6)111)76(133)95-37(4)62(119)104-49)33-138-137-32-52(106-66(123)44(14-10-24-92-79(88)89)98-65(122)43(13-9-23-91-78(86)87)97-61(118)36(3)94-72(51)129)74(131)101-45(16-19-55(82)112)67(124)100-46(17-20-56(83)113)68(125)103-48(60(85)117)27-40-29-90-34-93-40/h29,34-39,41-54,59,111H,7-28,30-33,80-81H2,1-6H3,(H2,82,112)(H2,83,113)(H2,84,114)(H2,85,117)(H,90,93)(H,94,129)(H,95,133)(H,96,121)(H,97,118)(H,98,122)(H,99,130)(H,100,124)(H,101,131)(H,102,132)(H,103,125)(H,104,119)(H,105,120)(H,106,123)(H,107,127)(H,108,128)(H,109,126)(H,115,116)(H4,86,87,91)(H4,88,89,92)/t36-,37-,38-,39+,41-,42-,43-,44-,45-,46-,47-,48-,49-,50-,51-,52-,53-,54-,59-/m0/s1

InChI key

YVIIHEKJCKCXOB-STYWVVQQSA-N

Gene Information

rat ... Kcnn1(54261)

Looking for similar products? Visit Product Comparison Guide

Amino Acid Sequence

Cys-Asn-Cys-Lys-Ala-Pro-Glu-Thr-Ala-Leu-Cys-Ala-Arg-Arg-Cys-Gln-Gln-His-NH2 [Disulfide Bridges: 1-11, 3-15]

General description

Research area: neuroscience
Apamin is a bee venom component and is strongly basic in nature. It has 18 amino acid residues and two disulphide bonds.

Application

Apamin has been used:

  • As a selective inhibitor of small conductance (SKCa) channels in HEK cells.
  • To inhibit endothelium-derived relaxing factor (EDHF) mediated responses.
  • To block small-conductance Ca2+-activated K+current (/SK) in electrophysiological studies in hyperstriatum ventrale, pars caudalis (HVc) neurons.
  • as a standard for determination of content and compositions of bee venom by high-performance liquid chromatography (HPLC).

Biochem/physiol Actions

Apamin exhibits anti-inflammatory, anti-apoptotic and antifibrotic properties. These properties aid in various biological processes such as vascular smooth muscle cell migration, biliary fibrosis and activation of hepatic stellate cells, TNFα/interferon (IFN)γ-induced keratinocytes, and macrophage activation. It also inhibits lipopolysaccharide (LPS)-induced neuroinflammatory responses by modulating multiple molecular targets involved in the inflammatory response, including calcium/calmodulin-dependent protein kinase II (CaMKII), toll-like receptor 4 (TLR4), nuclear factor kappa-light-chain-enhancer of activated B cells (NF-κB)/signal transducer and activator of transcription 3 (STAT3), and mitogen-activated protein kinases (MAPKs)/ extracellular signal-regulated kinase (ERK)pathways.
Apamin is a neurotoxin and is cytotoxic to erythrocytes. Exposure to apamin leads to hypermotility and convulsions.
The only polypeptide neurotoxin that is known to pass the blood-brain barrier. Blocks ATP-type Ca+2-activated K+ channels.

Storage Class

11 - Combustible Solids

wgk_germany

WGK 3

flash_point_f

Not applicable

flash_point_c

Not applicable


Choose from one of the most recent versions:

Certificates of Analysis (COA)

Lot/Batch Number

Don't see the Right Version?

If you require a particular version, you can look up a specific certificate by the Lot or Batch number.

Already Own This Product?

Find documentation for the products that you have recently purchased in the Document Library.

Visit the Document Library

Electrophysiological characterization and computational models of HVC neurons in the zebra finch
Daou A, et al.
Journal of Neurophysiology, 110(5), 1227-1245 (2013)
A Comparison of the Ability of Leu8-and Pro8-Oxytocin to Regulate Intracellular Ca2+ and Ca2+-Activated K+ Channels at Human and Marmoset Oxytocin Receptors
Pierce ML, et al.
Molecular Pharmacology, 95(4), 376-385 (2019)
Apamin from bee venom. Effects of the neurotoxin on subcellular particles of neural cultures
Spoerri E, et al.
Febs Letters, 53(2), 143-147 (1975)
Antioxidant and vasorelaxant activities induced by northeastern Brazilian fermented grape skins
Albuquerque J, et al.
BMC Complementary and Alternative Medicine, 17(1), 376-376 (2017)
Swapnil K Sonkusare et al.
Science signaling, 7(333), ra66-ra66 (2014-07-10)
Endothelial cell dysfunction, characterized by a diminished response to endothelial cell-dependent vasodilators, is a hallmark of hypertension. TRPV4 channels play a major role in endothelial-dependent vasodilation, a function mediated by local Ca(2+) influx through clusters of functionally coupled TRPV4 channels

Our team of scientists has experience in all areas of research including Life Science, Material Science, Chemical Synthesis, Chromatography, Analytical and many others.

Contact Technical Service