Skip to Content
MilliporeSigma

22048

Sigma-Aldrich

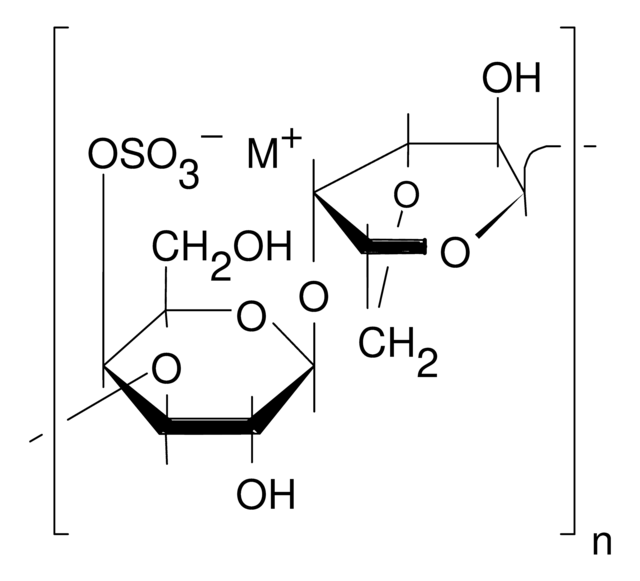
κ-Carrageenan

sulfated plant polysaccharide

Synonym(s):

Vegetable gelatin

Sign Into View Organizational & Contract Pricing

Select a Size


About This Item

CAS Number:
EC Number:
MDL number:
UNSPSC Code:
12352201
NACRES:
NA.25
Technical Service
Need help? Our team of experienced scientists is here for you.
Let Us Assist
Technical Service
Need help? Our team of experienced scientists is here for you.
Let Us Assist

biological source

plant

Quality Level

form

powder

color

white to off-white

viscosity

5-25 mPa.s, 0.3 % in H2O(25 °C)

solubility

H2O: soluble 5 mg/mL (hot)

SMILES string

[S](=O)(=O)([O-])O[C@H]1[C@H](O[C@H]([C@@H]([C@H]1O[C@H]4O[C@H]5[C@@H]([C@H](OC5)[C@H]4O)O[C@@H]6O[C@@H]([C@@H]([C@@H]([C@H]6O)O)O[S](=O)(=O)[O-])CO)O)O[C@@H]2[C@@H]3OC[C@H]2O[C@@H]([C@@H]3O)O)CO

InChI

1S/C24H38O25S2/c25-1-5-14(48-50(33,34)35)9(27)10(28)22(42-5)45-16-8-4-40-19(16)12(30)23(44-8)47-20-13(31)24(43-6(2-26)17(20)49-51(36,37)38)46-15-7-3-39-18(15)11(29)21(32)41-7/h5-32H,1-4H2,(H,33,34,35)(H,36,37,38)/p-2/t5-,6-,7-,8-,9-,10-,11-,12-,13-,14+,15+,16+,17+,18-,19-,20-,21+,22+,23-,24+/m1/s1

InChI key

ZNOZWUKQPJXOIG-XSBHQQIPSA-L

Looking for similar products? Visit Product Comparison Guide

General description

Carrageenans are mucopolysaccharides from the cell walls of the red algae. They are anionic linear polymers composed of 1,3α-1,4β-galactans having one (κ-), two (ι-) or three (λ-) sulfates per disaccharide unit. In ionic solutions, κ- and ι-carrageenans self-associate into helical structures that form rigid or flexible gels, respectively. λ-carrageenans do not form helices and are non-gelling. Carrageenans are used commercially as thickeners and stabilizing agents.
insoluble in hot concentrated salt solutions

Application

Carrageenans are used to suppress immune response in vivo and in vitro via mechanisms believed to involve selective cytopathic effect on macrophages. As ι-, κ-, and λ-carrageenans have varying degress of sulfation, they may be studied comparatively for differences in protective, antiviral, and immunosuppression activities.
May be used in immobilization of microbial cells based on the growth of cell in gel

Other Notes

To gain a comprehensive understanding of our extensive range of Polysaccharides for your research, we encourage you to visit our Carbohydrates Category page.

Storage Class

11 - Combustible Solids

wgk_germany

WGK 2

flash_point_f

Not applicable

flash_point_c

Not applicable


Choose from one of the most recent versions:

Certificates of Analysis (COA)

Lot/Batch Number

Don't see the Right Version?

If you require a particular version, you can look up a specific certificate by the Lot or Batch number.

Already Own This Product?

Find documentation for the products that you have recently purchased in the Document Library.

Visit the Document Library

Manuel López-López et al.
Pharmaceutics, 11(2) (2019-02-02)
In this work, poly(lactic-co-glycolic acid) (PLGA) and chitosan (CS) nanoparticles were synthesized with the purpose of encapsulating levofloxacin (LEV). A thorough study has been carried out in order to optimize the preparation of LEV-loaded polymeric nanoparticles (NPs) suitable for parenteral
A L Ellis et al.
Journal of colloid and interface science, 538, 165-173 (2018-12-05)
Polysaccharides such as kappa carrageenan are often utilised in fat replacement techniques in the food industry. However, the structural role they can provide within a product is limited by their hydrophilic nature. Hydrophilic particles can be surface-activated by hydrophobic modification
M. Wada et al.
Europ. J. Appl. Microbiol. Biotechnol., 8, 241-241 (1979)
Bakti B Sedayu et al.
Polymers, 12(5) (2020-05-21)
Carrageenans obtained from seaweeds can be processed into films for a range of applications including food packaging. The level of carrageenan refinement during extraction can influence the key properties, with semi-refined carrageenan (SRC) containing more impurities than the more refined
E. Castillo et al.
Applied Biochemistry and Biotechnology, 34-35, 477-477 (1992)

Our team of scientists has experience in all areas of research including Life Science, Material Science, Chemical Synthesis, Chromatography, Analytical and many others.

Contact Technical Service