R1500000
Roxithromycin
European Pharmacopoeia (EP) Reference Standard
Synonym(s):
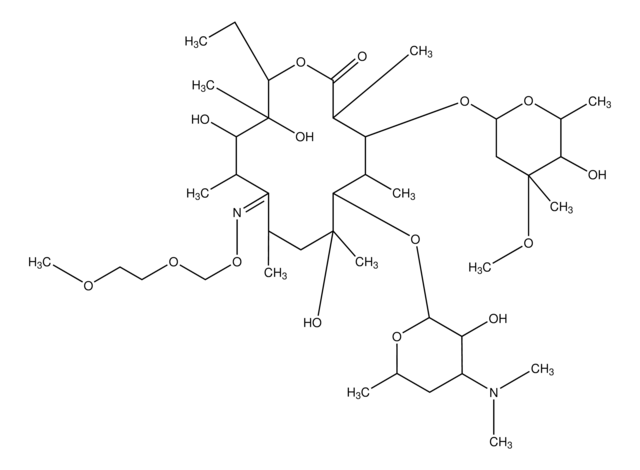
Erythromycin 9-(-O-[2-methoxyethoxy]methyloxime)
Select a Size
About This Item
grade
pharmaceutical primary standard
API family
roxithromycin
manufacturer/tradename
EDQM
application(s)
pharmaceutical (small molecule)
format
neat
SMILES string
CCC1OC(=O)C(C)C(OC2CC(C)(OC)C(O)C(C)O2)C(C)C(OC3OC(C)CC(C3O)N(C)C)C(C)(O)CC(C)C(=N/OCOCCOC)\C(C)C(O)C1(C)O
InChI
1S/C41H76N2O15/c1-15-29-41(10,49)34(45)24(4)31(42-53-21-52-17-16-50-13)22(2)19-39(8,48)36(58-38-32(44)28(43(11)12)18-23(3)54-38)25(5)33(26(6)37(47)56-29)57-30-20-40(9,51-14)35(46)27(7)55-30/h22-30,32-36,38,44-46,48-49H,15-21H2,1-14H3/b42-31+
InChI key
RXZBMPWDPOLZGW-FEMONOMJSA-N
Looking for similar products? Visit Product Comparison Guide
General description
Application
Biochem/physiol Actions
Packaging
Other Notes
signalword
Warning
hcodes
pcodes
Hazard Classifications
Acute Tox. 4 Oral
Storage Class
11 - Combustible Solids
wgk_germany
WGK 3
flash_point_f
Not applicable
flash_point_c
Not applicable
Choose from one of the most recent versions:
Already Own This Product?
Find documentation for the products that you have recently purchased in the Document Library.
Our team of scientists has experience in all areas of research including Life Science, Material Science, Chemical Synthesis, Chromatography, Analytical and many others.
Contact Technical Service