N6639
Nitrotetrazolium Blue chloride
powder, electrophoresis grade
Synonym(s):
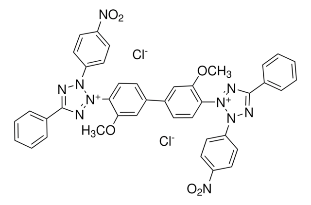
2,2′-bis(4-Nitrophenyl)-5,5′-diphenyl-3,3′-(3,3′-dimethoxy-4,4′-diphenylene)ditetrazolium chloride, 3,3′-(3,3′-Dimethoxy-4,4′-biphenylene)bis[2-(4-nitrophenyl)-5-phenyl-2H-tetrazolium chloride], p-Nitro-Blue tetrazolium chloride, p-Nitrotetrazolium blue, NBT, Nitro BT
Select a Size
About This Item
grade
electrophoresis grade
Quality Level
assay
>90%
form
powder
technique(s)
electrophoresis: suitable
solubility
H2O: 10 mg/mL (A stock solution at 10mg/ml in water is stable for 1-2 weeks in the dark at 0-4°C.)
2-methoxyethanol: 20 mg/mL
ethanol: 5 mg/mL
storage temp.
2-8°C
SMILES string
[Cl-].[Cl-].COc1cc(ccc1-[n+]2nc(nn2-c3ccc(cc3)[N+]([O-])=O)-c4ccccc4)-c5ccc(c(OC)c5)-[n+]6nc(nn6-c7ccc(cc7)[N+]([O-])=O)-c8ccccc8
InChI
1S/C40H30N10O6.2ClH/c1-55-37-25-29(13-23-35(37)47-43-39(27-9-5-3-6-10-27)41-45(47)31-15-19-33(20-16-31)49(51)52)30-14-24-36(38(26-30)56-2)48-44-40(28-11-7-4-8-12-28)42-46(48)32-17-21-34(22-18-32)50(53)54;;/h3-26H,1-2H3;2*1H/q+2;;/p-2
InChI key
FSVCQIDHPKZJSO-UHFFFAOYSA-L
Looking for similar products? Visit Product Comparison Guide
General description
Application
- to determine the superoxide anion in skeletal muscle cells
- as a component in Tris-HCl buffered saline for nicotinamide adenine dinucleotide phosphate (NADPH)-diaphorase histochemistry of brain sections
- as a chromogenic substrate to study the histochemical detection of hydrogen peroxide (H2O2) and superoxide (O2- ) anion in Brassica juncea seedlings
- as a component in Triton X-100 solution to perform staining of coronal brain sections
Biochem/physiol Actions
signalword
Warning
hcodes
Hazard Classifications
Acute Tox. 4 Oral - Eye Irrit. 2 - Skin Irrit. 2 - STOT SE 3
target_organs
Respiratory system
Storage Class
11 - Combustible Solids
wgk_germany
WGK 3
flash_point_f
Not applicable
flash_point_c
Not applicable
ppe
Eyeshields, Gloves, type N95 (US)
Choose from one of the most recent versions:
Already Own This Product?
Find documentation for the products that you have recently purchased in the Document Library.
Our team of scientists has experience in all areas of research including Life Science, Material Science, Chemical Synthesis, Chromatography, Analytical and many others.
Contact Technical Service