Skip to Content
MilliporeSigma

A4018

Sigma-Aldrich

Agarose, low gelling temperature

Synonym(s):

2-Hydroxyethyl agarose

Sign Into View Organizational & Contract Pricing

Select a Size


About This Item

CAS Number:
MDL number:
UNSPSC Code:
41105317
NACRES:
NA.21
Technical Service
Need help? Our team of experienced scientists is here for you.
Let Us Assist
Technical Service
Need help? Our team of experienced scientists is here for you.
Let Us Assist

biological source

algae (marine)

Quality Level

form

powder

technique(s)

cell culture | mammalian: suitable

EEO

≤0.10

transition temp

congealing temperature 26-30 °C

gel strength

≥200 g/cm2 (1% gel)

SMILES string

O1[C@H]([C@@H]([C@H]([C@H]([C@H]1CO)O)O[C@@H]4O[C@@H]5[C@H]([C@@H](OC5)[C@@H]4O)O[C@@H]6O[C@@H]([C@@H]([C@@H]([C@H]6O)O)O)CO)O)O[C@H]2[C@H]3OC[C@@H]2O[C@H]([C@H]3O)O

InChI

1S/C24H38O19/c25-1-5-9(27)11(29)12(30)22(38-5)41-17-8-4-36-20(17)15(33)24(40-8)43-18-10(28)6(2-26)39-23(14(18)32)42-16-7-3-35-19(16)13(31)21(34)37-7/h5-34H,1-4H2/t5-,6-,7+,8+,9+,10+,11+,12-,13+,14-,15+,16-,17-,18+,19+,20+,21-,22+,23+,24+/m1/s1

InChI key

MJQHZNBUODTQTK-WKGBVCLCSA-N

Looking for similar products? Visit Product Comparison Guide

General description

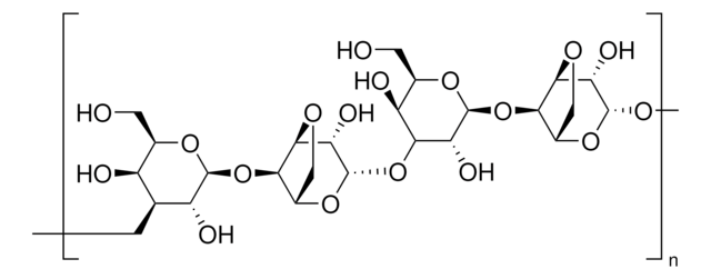
Agarose is a polymer extracted from agar or agar-bearing marine algae. This purified linear galactan hydrocolloid comprises alternating co-polymers D-galactose and 3,6-anhydro-L-galactose units connected by α-(1→3) and β-(1→4) glycosidic bonds. Agarose is highly biocompatible and possesses variable mechanical and diffusion properties. Agarose can be used as a gelling agent, to separate nucleic acids electrophoretically. Low melting or low gelling temperature agarose is produced by hydroxyethylation of agarose. It is usually used for the isolation of separated DNA fragments. DNA fragments of the equal size will take longer time to move through a low melting agarose gel compared to a standard agarose gel.

Application

Gels exhibit excellent clarity and are particularly useful for the preparation of media containing heat-labile materials. Recommended for preparation of agarose beads.
Agarose, low gelling temperature has been used:
  • to immobilize zebra fish embryos during in vivo imaging experiments
  • as a constituent of defined medium to culture bovine nucleus pulposus (NP) cells
  • as a hydrogel, a scaffolding material for dental pulp regeneration
  • in the form of pellets to determine the surface pH and conductivity of an acrylic emulsion film

Analysis Note

A low gelling temperature derivative with unique gelling properties.
The following is a list of properties associated with our agaroses:
Sulfate content - used as an indicator of purity, since sulfate is the major ionic group present.
Gel strength - the force that must be applied to a gel to cause it to fracture.
Gel point - the temperature at which an aqueous agarose solution forms a gel as it cools. Agarose solutions exhibit hysteresis in the liquid-to-gel transition - that is, their gel point is not the same as their melting temperature.
Electroendosmosis (EEO) - a movement of liquid through the gel. Anionic groups in an agarose gel are affixed to the matrix and cannot move, but dissociable counter cations can migrate toward the cathode in the matrix, giving rise to EEO. Since electrophoretic movement of biopolymers is usually toward the anode, EEO can disrupt separations because of internal convection.

Storage Class

11 - Combustible Solids

wgk_germany

WGK 3

flash_point_f

Not applicable

flash_point_c

Not applicable

ppe

Eyeshields, Gloves, type N95 (US)


Choose from one of the most recent versions:

Certificates of Analysis (COA)

Lot/Batch Number

Don't see the Right Version?

If you require a particular version, you can look up a specific certificate by the Lot or Batch number.

Already Own This Product?

Find documentation for the products that you have recently purchased in the Document Library.

Visit the Document Library

Methods in Enzymology, 135, 223-223 (1987)
Nucleus pulposus cells synthesize a functional extracellular matrix and respond to inflammatory cytokine challenge following long term agarose culture
Smith LJ
European Cells & Materials, 22, 291-291 (2011)
In vivo imaging of zebrafish retina
Williams PR, et al.
Cold Spring Harbor Protocols, 2013(1) (2013)
Viscoelastic properties of dental pulp tissue and ramifications on biomaterial development for pulp regeneration
Erisken C, et al.
Journal of Endodontics, 41(10), 1711-1717 (2015)
Agarose gel electrophoresis for the separation of DNA fragments
Lee PY, et al.
Journal of Visualized Experiments, (62) (2012)

Our team of scientists has experience in all areas of research including Life Science, Material Science, Chemical Synthesis, Chromatography, Analytical and many others.

Contact Technical Service