68317
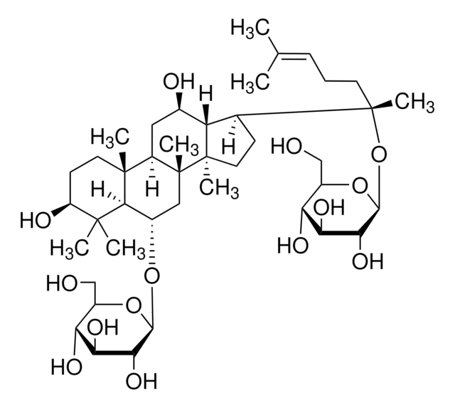
Ginsenoside Rg1
analytical standard
Synonym(s):
(3β,6α,12β)-3,12-Dihydroxydammar-24-ene-6,20-diyl bis-β-D-glucopyranoside, Ginsenoside A2, Ginsenoside g1, Panaxoside A, Panaxoside Rg1, Sanchinoside C1, Sanchinoside Rg1
Select a Size
About This Item
grade
analytical standard
Quality Level
assay
≥90% (HPLC)
shelf life
limited shelf life, expiry date on the label
technique(s)
HPLC: suitable
gas chromatography (GC): suitable
application(s)
food and beverages
format
neat
SMILES string
C[C@]12[C@@](C[C@H]([C@@]3([H])[C@]2(CC[C@]3([H])[C@@](CCC=C(C)C)(C)O[C@@H]4O[C@@H]([C@H]([C@@H]([C@H]4O)O)O)CO)C)O)([H])[C@@]5([C@@](C(C)([C@H](CC5)O)C)([H])[C@H](C1)O[C@@H]6O[C@@H]([C@H]([C@@H]([C@H]6O)O)O)CO)C
InChI
1S/C42H72O14/c1-20(2)10-9-13-42(8,56-37-34(52)32(50)30(48)25(19-44)55-37)21-11-15-40(6)28(21)22(45)16-26-39(5)14-12-27(46)38(3,4)35(39)23(17-41(26,40)7)53-36-33(51)31(49)29(47)24(18-43)54-36/h10,21-37,43-52H,9,11-19H2,1-8H3/t21-,22+,23-,24+,25+,26+,27-,28-,29+,30+,31-,32-,33+,34+,35-,36+,37-,39+,40+,41+,42-/m0/s1
InChI key
YURJSTAIMNSZAE-HHNZYBFYSA-N
Looking for similar products? Visit Product Comparison Guide
General description
Application
Other Notes
Choose from one of the most recent versions:
Already Own This Product?
Find documentation for the products that you have recently purchased in the Document Library.
Chromatograms
Our team of scientists has experience in all areas of research including Life Science, Material Science, Chemical Synthesis, Chromatography, Analytical and many others.
Contact Technical Service