42630
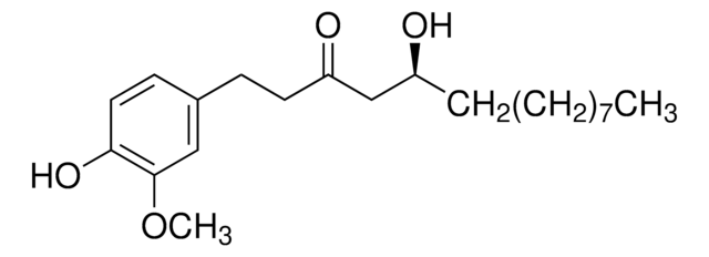
[10]-Gingerol
analytical standard
Synonym(s):
(S)- 5-Hydroxy-1-(4-hydroxy-3-methoxyphenyl)-3-tetradecanone, 10-Gingerol
Select a Size
About This Item
grade
analytical standard
Quality Level
assay
≥94.0% (HPLC)
shelf life
limited shelf life, expiry date on the label
technique(s)
HPLC: suitable
gas chromatography (GC): suitable
application(s)
cleaning products
cosmetics
flavors and fragrances
food and beverages
personal care
format
neat
storage temp.
2-8°C
SMILES string
CCCCCCCCC[C@H](O)CC(=O)CCc1ccc(O)c(OC)c1
InChI
1S/C21H34O4/c1-3-4-5-6-7-8-9-10-18(22)16-19(23)13-11-17-12-14-20(24)21(15-17)25-2/h12,14-15,18,22,24H,3-11,13,16H2,1-2H3/t18-/m0/s1
InChI key
AIULWNKTYPZYAN-SFHVURJKSA-N
Looking for similar products? Visit Product Comparison Guide
Application
Biochem/physiol Actions
Packaging
Other Notes
signalword
Warning
hcodes
Hazard Classifications
Eye Irrit. 2 - Skin Irrit. 2 - STOT SE 3
target_organs
Respiratory system
Storage Class
11 - Combustible Solids
wgk_germany
WGK 3
flash_point_f
331.3 °F - closed cup
flash_point_c
166.3 °C - closed cup
Choose from one of the most recent versions:
Already Own This Product?
Find documentation for the products that you have recently purchased in the Document Library.
Our team of scientists has experience in all areas of research including Life Science, Material Science, Chemical Synthesis, Chromatography, Analytical and many others.
Contact Technical Service