34069
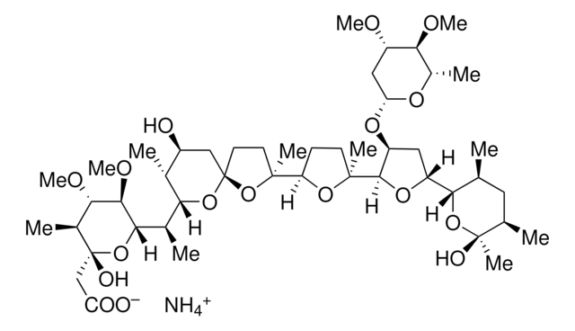
Maduramicin ammonium
VETRANAL®, analytical standard
Synonym(s):
Maduramycin ammonium
Select a Size
About This Item
grade
analytical standard
Quality Level
product line
VETRANAL®
shelf life
limited shelf life, expiry date on the label
technique(s)
HPLC: suitable
gas chromatography (GC): suitable
application(s)
forensics and toxicology
pharmaceutical (small molecule)
format
neat
SMILES string
[NH4+].[H][C@@]1(C[C@H](O[C@@H]2C[C@H](OC)[C@@H](OC)[C@H](C)O2)[C@@]([H])(O1)[C@]3(C)CC[C@@]([H])(O3)[C@]4(C)CC[C@]5(C[C@H](O)[C@@H](C)[C@]([H])(O5)[C@@H](C)[C@]6([H])O[C@](O)(CC([O-])=O)[C@@H](C)[C@H](OC)[C@H]6OC)O4)[C@@]7([H])O[C@](C)(O)[C@H](C)C[C@@H]7C
InChI
1S/C47H80O17.H3N/c1-23-18-24(2)45(9,51)61-36(23)31-19-32(58-35-20-30(53-10)40(55-12)28(6)57-35)42(59-31)44(8)15-14-33(60-44)43(7)16-17-46(64-43)21-29(48)25(3)37(62-46)26(4)38-41(56-13)39(54-11)27(5)47(52,63-38)22-34(49)50;/h23-33,35-42,48,51-52H,14-22H2,1-13H3,(H,49,50);1H3/t23-,24+,25+,26+,27-,28-,29-,30-,31+,32-,33+,35+,36-,37-,38-,39-,40-,41-,42+,43-,44-,45-,46+,47+;/m0./s1
InChI key
WQGJEAMPBSZCIF-HKSLRPGUSA-N
Looking for similar products? Visit Product Comparison Guide
General description
Application
Legal Information
signalword
Danger
hcodes
Hazard Classifications
Acute Tox. 1 Dermal - Acute Tox. 2 Oral - Eye Irrit. 2
Storage Class
6.1A - Combustible acute toxic Cat. 1 and 2 / very toxic hazardous materials
wgk_germany
WGK 3
flash_point_f
Not applicable
flash_point_c
Not applicable
ppe
Eyeshields, Faceshields, Gloves, type P3 (EN 143) respirator cartridges
Choose from one of the most recent versions:
Already Own This Product?
Find documentation for the products that you have recently purchased in the Document Library.
Our team of scientists has experience in all areas of research including Life Science, Material Science, Chemical Synthesis, Chromatography, Analytical and many others.
Contact Technical Service