Skip to Content
MilliporeSigma

8.51069

Sigma-Aldrich

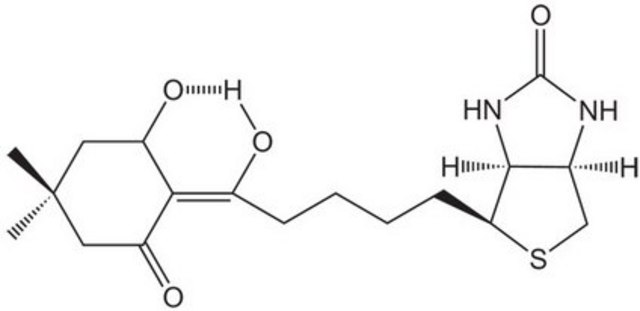
2-Biotinyldimedone

Novabiochem®

Synonym(s):

2-Biotinyldimedone

Sign Into View Organizational & Contract Pricing

Select a Size


About This Item

Empirical Formula (Hill Notation):
C18H26N2O4S
CAS Number:
Molecular Weight:
366.48
MDL number:
UNSPSC Code:
12352005
NACRES:
NA.22
Technical Service
Need help? Our team of experienced scientists is here for you.
Let Us Assist
Technical Service
Need help? Our team of experienced scientists is here for you.
Let Us Assist

Quality Level

product line

Novabiochem®

assay

≥98% (TLC)
≥98.0% (HPLC)

form

powder

reaction suitability

reaction type: Biotinylations

manufacturer/tradename

Novabiochem®

application(s)

peptide synthesis

storage temp.

2-30°C

InChI key

JMXONQIABZZOLX-FSBGKCOPSA-N

General description

A reagent for the reversible labeling of peptides with biotin [1]. Labeling of the N-terminal amine of resin-bound peptides is carried out by incubating overnight with excess reagent in DMF. The biotinylated peptide is obtained following TFA cleavage. Removal of the biotin label is effected by treatment with 5% aqueous hydrazine.

Associated Protocols and Technical Articles
Purification of Peptides using Chemoselective Tags

Literature references

[1] B. Kellam, et al. (1997) Tetrahedron Lett., 38, 5391

Analysis Note

Color (visual): white to slight yellow to beige
Appearance of substance (visual): powder
Identity (IR): passes test
Purity (TLC(011A)): ≥ 98 %
Assay (HPLC, area%): ≥ 98.0 % (a/a)

To see the solvent systems used for TLC of Novabiochem® products please click here.

Other Notes

Replaces: 01-63-0108

Legal Information

Novabiochem is a registered trademark of Merck KGaA, Darmstadt, Germany

Storage Class

11 - Combustible Solids

wgk_germany

WGK 3

flash_point_f

Not applicable

flash_point_c

Not applicable


Certificates of Analysis (COA)

Search for Certificates of Analysis (COA) by entering the products Lot/Batch Number. Lot and Batch Numbers can be found on a product’s label following the words ‘Lot’ or ‘Batch’.

Already Own This Product?

Find documentation for the products that you have recently purchased in the Document Library.

Visit the Document Library

Articles

Long peptide purification removes impurities effectively, crucial for research and pharmaceutical applications.

Our team of scientists has experience in all areas of research including Life Science, Material Science, Chemical Synthesis, Chromatography, Analytical and many others.

Contact Technical Service