Sign In to View Organizational & Contract Pricing.
Select a Size
Change View
About This Item
Empirical Formula (Hill Notation):
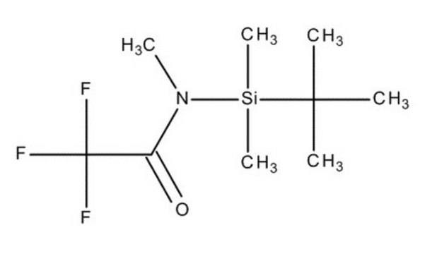
C9H18F3NOSi
CAS Number:
Molecular Weight:
241.33
UNSPSC Code:
12352103
NACRES:
NA.22
MDL number:
Assay:
≥97.0% (GC)
Form:
liquid
Quality Level
assay
≥97.0% (GC)
form
liquid
transition temp
flash point 52 °C
density
1.03 g/cm3 at 20 °C
storage temp.
2-30°C
SMILES string
[Si](N(C)C(=O)C(F)(F)F)(CCCC)(C)C
InChI
1S/C9H18F3NOSi/c1-5-6-7-15(3,4)13(2)8(14)9(10,11)12/h5-7H2,1-4H3
InChI key
NEJIKZHUEMMAEF-UHFFFAOYSA-N
Analysis Note
Assay (GC, area%): ≥ 97.0 % (a/a)
Density (d 20 °C/ 4 °C): 1.034 - 1.039
Identity (IR): passes test
Density (d 20 °C/ 4 °C): 1.034 - 1.039
Identity (IR): passes test
Still not finding the right product?
Explore all of our products under N-tert-Butyldimethylsilyl-N-methyltrifluoroacetamide
signalword
Warning
hcodes
Hazard Classifications
Flam. Liq. 3
Storage Class
3 - Flammable liquids
wgk
WGK 3
flash_point_f
113.0 °F - closed cup
flash_point_c
45 °C - closed cup
Certificates of Analysis (COA)
Search for Certificates of Analysis (COA) by entering the products Lot/Batch Number. Lot and Batch Numbers can be found on a product’s label following the words ‘Lot’ or ‘Batch’.
Already Own This Product?
Find documentation for the products that you have recently purchased in the Document Library.
Global Trade Item Number
| SKU | GTIN |
|---|---|
| 8142190005 | 04027269980313 |
| 8142190001 | 04022536409658 |
