Skip to Content
MilliporeSigma

219332

Sigma-Aldrich

β-Catenin/Tcf Inhibitor III, iCRT3

The β-Catenin/Tcf Inhibitor III, iCRT3 controls the biological activity of β-Catenin/Tcf. This small molecule/inhibitor is primarily used for Biochemicals applications.

Synonym(s):

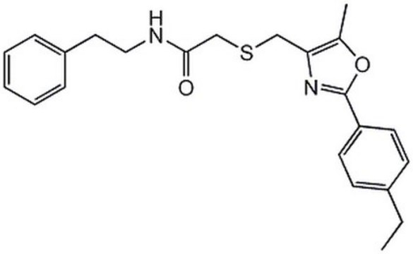
β-Catenin/Tcf Inhibitor III, iCRT3, 2-(((2-(4-Ethylphenyl)-5-methyl-1,3-oxazol-4-yl)methyl)sulfanyl)-N-(2-phenylethyl)acetamide, Inhibitor of β-Catenin Responsive Transcription, C3, Wnt Pathway Inhibitor VIII, C3, 2-(((2-(4-Ethylphenyl)-5-methyl-1,3-oxazol-4-yl)methyl)sulfanyl)-N-(2-phenylethyl)acetamide, Inhibitor of β-Catenin Responsive Transcription, Wnt Pathway Inhibitor VIII

Sign Into View Organizational & Contract Pricing

Select a Size


About This Item

Empirical Formula (Hill Notation):
C23H26N2O2S
Molecular Weight:
394.53
UNSPSC Code:
12352200
NACRES:
NA.77
Technical Service
Need help? Our team of experienced scientists is here for you.
Let Us Assist
Technical Service
Need help? Our team of experienced scientists is here for you.
Let Us Assist

Quality Level

assay

≥95% (HPLC)

form

powder

manufacturer/tradename

Calbiochem®

storage condition

OK to freeze
protect from light

color

tan

solubility

DMSO: 50 mg/mL

shipped in

ambient

storage temp.

−20°C

General description

A cell-permeable oxazole compound that acts as a selective CRT (β-catenin responsive transcription) inhibitor (IC50 = 8.2 nM against Wnt3a-dependent SuperTopFlash STF16-luc reporter activity in HEK293 cultures) by interfering with β-cat-TCF4 interaction via direct β-catenin (β-cat) binding, while exhibiting much reduced activity against Hedgehog, Jak/Stat, or Notch signaling pathway-dependent transcription activation. Effectively inhibits cellular expression of CRT target genes, including WISP1, AXN2, and CYCD1, in a dose-dependent manner (25 to 75 µM), and selectively inhibits the proliferation of HCT116 (75 µM), HT29 (75 µM), and several primary human colon cancer cultures (6.25 to 100 µg/ml; average IC50 ~36 µg/ml) that require sustained Wnt/CRT activity for survival.

Packaging

Packaged under inert gas

Preparation Note

Following reconstitution, aliquot and freeze (-20°C). Stock solutions are stable for up to 3 months at -20°C.

Other Notes

Lee, E., et al. 2013. Proc. Natl. Acad. Sci. USA110, 15710.

Gonsalves, F.C., et al. 2011. Proc. Natl. Acad. Sci. USA108, 5954.

Legal Information

CALBIOCHEM is a registered trademark of Merck KGaA, Darmstadt, Germany

Disclaimer

Toxicity: Standard Handling (A)

Storage Class

11 - Combustible Solids

wgk_germany

WGK 3


Certificates of Analysis (COA)

Search for Certificates of Analysis (COA) by entering the products Lot/Batch Number. Lot and Batch Numbers can be found on a product’s label following the words ‘Lot’ or ‘Batch’.

Already Own This Product?

Find documentation for the products that you have recently purchased in the Document Library.

Visit the Document Library

Eugine Lee et al.
Proceedings of the National Academy of Sciences of the United States of America, 110(39), 15710-15715 (2013-09-11)
Androgen receptor (AR) is the major therapeutic target in aggressive prostate cancer. However, targeting AR alone can result in drug resistance and disease recurrence. Therefore, simultaneous targeting of multiple pathways could in principle be an effective approach to treating prostate
Foster C Gonsalves et al.
Proceedings of the National Academy of Sciences of the United States of America, 108(15), 5954-5963 (2011-03-12)
Misregulated β-catenin responsive transcription (CRT) has been implicated in the genesis of various malignancies, including colorectal carcinomas, and it is a key therapeutic target in combating various cancers. Despite significant effort, successful clinical implementation of CRT inhibitory therapeutics remains a

Our team of scientists has experience in all areas of research including Life Science, Material Science, Chemical Synthesis, Chromatography, Analytical and many others.

Contact Technical Service