935433
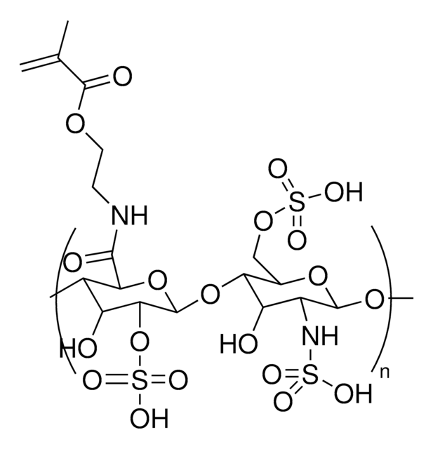
Heparin methacrylate (HepMA)
Synonym(s):
3D bioprinting, Bioprinting, HepMA, Heparin, Heparin methacrylate, Hydrogel
Sign Into View Organizational & Contract Pricing
Select a Size
About This Item
UNSPSC Code:
12162002
NACRES:
NA.21
description
Degree of functionalization: 10-30% methacrylation
Quality Level
form
powder or chunks (or fibers)
color
white to off-white
storage temp.
2-8°C
Related Categories
General description
Heparin methacrylate (HepMa) is a functionalized natural polymer that can be used in 3D bioprinting and tissue engineering applications. 
Heparin is a naturally occurring linear biopolymer and highly sulfated glycosaminoglycan (GAG). Research has demonstrated that heparin can modulate binding extracellular matrix proteins and sequester growth factors and cytokines, making them useful in 3D applications. The methacrylate-functionalization of heparin allows thermal or photochemical crosslinking via covalent conjugation. Heparins exhibit high anionic charge densities to promote large swelling ratios in water.
Heparin is a naturally occurring linear biopolymer and highly sulfated glycosaminoglycan (GAG). Research has demonstrated that heparin can modulate binding extracellular matrix proteins and sequester growth factors and cytokines, making them useful in 3D applications. The methacrylate-functionalization of heparin allows thermal or photochemical crosslinking via covalent conjugation. Heparins exhibit high anionic charge densities to promote large swelling ratios in water.
Application
Heparin based hydrogels are widely used in tissue engineering, 3D bioprinting, and drug delivery applications.
Features and Benefits
- Batch control offers reproducible models for preclinical toxicology testing and drug screening
- Extended shelf-life & stability
signalword
Warning
hcodes
Hazard Classifications
Acute Tox. 4 Oral
Storage Class
11 - Combustible Solids
wgk_germany
WGK 3
flash_point_f
Not applicable
flash_point_c
Not applicable
Choose from one of the most recent versions:
Already Own This Product?
Find documentation for the products that you have recently purchased in the Document Library.
Our team of scientists has experience in all areas of research including Life Science, Material Science, Chemical Synthesis, Chromatography, Analytical and many others.
Contact Technical Service