Skip to Content
MilliporeSigma

900421

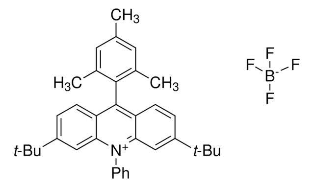
9-Mesityl-3,6-di-tert-butyl-10-phenylacridinium tetrafluoroborate

≥95%, powder or crystals

Synonym(s):

3,6-Bis(1,1-dimethylethyl)-10-phenyl-9-(2,4,6-trimethylphenyl)-acridinium tetrafluoroborate, 3,6-Di-tert-butyl-9-(2,4,6-trimethylphenyl)-10-phenylacridinium tetrafluoroborate

Sign In to View Organizational & Contract Pricing.

Select a Size

Change View

About This Item

Empirical Formula (Hill Notation):
C36H40BF4N
CAS Number:
Molecular Weight:
573.51
MDL number:
UNSPSC Code:
12352005
NACRES:
NA.22
Technical Service
Need help? Our team of experienced scientists is here for you.
Let Us Assist


Product Name

9-Mesityl-3,6-di-tert-butyl-10-phenylacridinium tetrafluoroborate, ≥95%

Quality Level

assay

≥95%

form

powder or crystals

reaction suitability

core: acridinium, reagent type: catalyst
reaction type: Photocatalysis

mp

277.2 °C

photocatalyst activation

455 nm

SMILES string

[F-][B+3]([F-])([F-])[F-].C=1C=CC(=CC1)[N+]=2C=3C=C(C=CC3C(=C4C=CC(=CC42)C(C)(C)C)C=5C(=CC(=CC5C)C)C)C(C)(C)C

InChI

InChI=1S/C36H40N.BF4/c1-23-19-24(2)33(25(3)20-23)34-29-17-15-26(35(4,5)6)21-31(29)37(28-13-11-10-12-14-28)32-22-27(36(7,8)9)16-18-30(32)34;2-1(3,4)5/h10-22H,1-9H3;/q+1;-1

InChI key

YUNSHKYOOCWQRB-UHFFFAOYSA-N

Application

When employed with TEMPO, this acridinium photocatalyst promotes the site-selective amination of a variety of simple and complex aromatics with heteroaromatic azoles. When ammonium carbamate is used as the amine, anilines can be achieved directly.

Product can be used with our line of photoreactors: Including Penn PhD (Z744035) & SynLED 2.0 (Z744080)
9-Mesityl-3,6-di-tert-butyl-10-phenylacridinium tetrafluoroborate is an acridium-based photocatalyst that can be an alternative to transition-metal-based photocatalysts due to its higher chemical stability and attenuated redox potential.


Storage Class

11 - Combustible Solids

wgk

WGK 3

flash_point_f

Not applicable

flash_point_c

Not applicable



Choose from one of the most recent versions:

Certificates of Analysis (COA)

Lot/Batch Number

It looks like we've run into a problem, but you can still download Certificates of Analysis from our Documents section.

If you need assistance, please contact Customer Support

Already Own This Product?

Find documentation for the products that you have recently purchased in the Document Library.

Visit the Document Library


Related Content

Nicewicz lab focuses on reactive cation radical species for selective reactions, advancing synthesis methodologies for various functional groups.


Acridinium-Based Photocatalysts: A Sustainable Option in Photoredox Catalysis.
Joshi-Pangu A, et al.
The Journal of Organic Chemistry, 81(16), 7244-7249 (2016)



Global Trade Item Number

SKUGTIN
900421-100MG04061833244531