form
liquid
reaction suitability
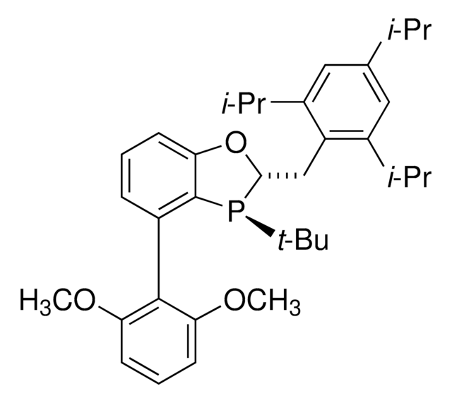
reaction type: Buchwald-Hartwig Cross Coupling Reaction, reaction type: Heck Reaction, reaction type: Hiyama Coupling, reaction type: Negishi Coupling, reaction type: Sonogashira Coupling, reaction type: Stille Coupling, reaction type: Suzuki-Miyaura Coupling, reagent type: ligand
transition temp
flash point 42.0 °F
functional group
phosphine
storage temp.
2-8°C
SMILES string
COC(C=CC=C1OC)=[C@]1[C@@]2=C([P@](C(C)(C)C)[C@@H](CC3=C(C(C)C)C=C(C(C)C)C=C3C(C)C)O4)C4=CC=C2
Application
Other Notes
From milligrams to kilograms: synthetic chemistry following nature′s lead
signalword
Danger
Hazard Classifications
Aquatic Chronic 3 - Asp. Tox. 1 - Flam. Liq. 2 - Repr. 2 - Skin Irrit. 2 - STOT RE 2 - STOT SE 3
target_organs
Central nervous system
Storage Class
3 - Flammable liquids
wgk
WGK 3
flash_point_f
41.0 °F
flash_point_c
5 °C
Choose from one of the most recent versions:
Already Own This Product?
Find documentation for the products that you have recently purchased in the Document Library.
Related Content
Designer surfactants enable diverse transformations like Suzuki-Miyaura, Olefin Metathesis, and 1,4-Addition to Enones in water by Prof. Bruce Lipshutz.
Global Trade Item Number
| SKU | GTIN |
|---|---|
| 808423-1ML | 04061824810103 |


